一、观察图片,请小朋友们认真写一写。

j
q
x
答案:j
q
x
q
x
二、请大家照样子,填一填。
j — i — ā →(jiā)

q — i — à →(
x — i — á →(
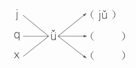
j
q → ǚ →(jǔ)
x
(
(
j — i — ā →(jiā)
q — i — à →(
qià
)x — i — á →(
xiá
)j
q → ǚ →(jǔ)
x
(
qǔ
)(
xǔ
)答案:qià;xiá;qǔ;xǔ
解析:
根据“j q x”与“ü”相拼时“ü”上两点要去掉的规则及拼音拼读方法。q—i—à 拼读为 qià;x—i—á 拼读为 xiá;q 与 ǚ 相拼去掉两点为 qǔ;x 与 ǚ 相拼去掉两点为 xǔ。
三、看图,选择正确的音节写下来。
xī guā mǔ jī jú huā




xī guā mǔ jī jú huā
答案:mǔ jī jú huā xī guā
解析:
观察插图1为母鸡,对应音节“mǔ jī”;插图2为菊花,对应音节“jú huā”;插图3为西瓜,对应音节“xī guā”。
四、看图识字,选择音节补全句子,并补全音调。
搭积木(da ji mu) 下棋(xia qi)

1. xī xi zài
2. wǒ hé gē ge zài

搭积木(da ji mu) 下棋(xia qi)
1. xī xi zài
dā jī mù
。2. wǒ hé gē ge zài
xià qí
。答案:1. dā jī mù
2. xià qí
2. xià qí
解析:
1. 图片展示的是一个人在搭积木,对应音节“da ji mu”,句子是“xī xi zài da ji mu ”,补全音调后为“xī xi zài dā jī mù”。
2. 图片展示的是两个人在下棋,对应音节“xia qi”,句子是“wǒ hé gē ge zài xia qi”,补全音调后为“wǒ hé gē ge zài xià qí”。
2. 图片展示的是两个人在下棋,对应音节“xia qi”,句子是“wǒ hé gē ge zài xia qi”,补全音调后为“wǒ hé gē ge zài xià qí”。