新知梳理
1. 两条直线被第三条直线所截,如果同位角
2. 两条直线被第三条直线所截,如果内错角
3. 两条直线被第三条直线所截,如果同旁内角
1. 两条直线被第三条直线所截,如果同位角
相等
,那么这两条直线平行.2. 两条直线被第三条直线所截,如果内错角
相等
,那么这两条直线平行.3. 两条直线被第三条直线所截,如果同旁内角
互补
,那么这两条直线平行.答案:1. 相等 2. 相等 3. 互补
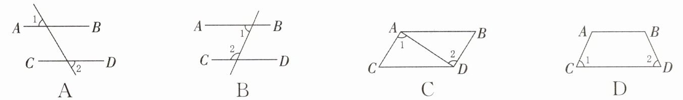
1. 下列图形中,由$∠1 = ∠2$,能得到$AB// CD$的是(

A
)答案:1. A
2. 如图,下列条件中,不能判定$AB// CD$的是(

A.$∠1 + ∠4 = 180^{\circ}$
B.$∠4 = ∠6$
C.$∠5 + ∠6 = 180^{\circ}$
D.$∠3 = ∠5$
D
)A.$∠1 + ∠4 = 180^{\circ}$
B.$∠4 = ∠6$
C.$∠5 + ∠6 = 180^{\circ}$
D.$∠3 = ∠5$
答案:2. D
3. 如图,$∠DEF = 100^{\circ}$,请添加一个条件:

答案不唯一,如∠AFE = 100°
,使得$AB// CD$.答案:3. 答案不唯一,如∠AFE = 100°
解析:
∠AFE = 100°
4. 将一副三角尺按如图所示的方式摆放,则$DE// BC$,理由是

内错角相等,两直线平行
.答案:4. 内错角相等,两直线平行
5. 如图,$AF$与$BD$相交于点$C$,$∠B = ∠ACB$,且$CD$平分$∠ECF$.试说明:$AB// CE$.
请完成以下推理过程:
∵ $CD$平分$∠ECF$,
∴ $∠ECD =$
∵ $∠ACB = ∠DCF$(
∴ $∠ECD = ∠ACB$(
∵ $∠B = ∠ACB$,
∴ $∠B =$
∴ $AB// CE$(

请完成以下推理过程:
∵ $CD$平分$∠ECF$,
∴ $∠ECD =$
∠DCF
(角的平分线的定义
).∵ $∠ACB = ∠DCF$(
对顶角相等
),∴ $∠ECD = ∠ACB$(
等式的基本事实
).∵ $∠B = ∠ACB$,
∴ $∠B =$
∠ECD
(等式的基本事实
).∴ $AB// CE$(
同位角相等,两直线平行
).答案:5. ∠DCF 角的平分线的定义 对顶角相等 等式的基本事实 ∠ECD 等式的基本事实 同位角相等,两直线平行
解析:
∵ $CD$ 平分$\angle ECF$,
∴ $\angle ECD=\angle DCF$(角的平分线的定义).
∵ $\angle ACB = \angle DCF$(对顶角相等),
∴ $\angle ECD = \angle ACB$(等式的基本事实).
∵ $\angle B = \angle ACB$,
∴ $\angle B=\angle ECD$(等式的基本事实).
∴ $AB// CE$(同位角相等,两直线平行).