1. 认识海洋资源
(1) 海水中含有 80 多种元素,海洋是巨大的资源宝库,海洋资源包括生物资源(如鱼、虾等)、化学资源(如氯化钠、氯化镁、硫酸镁等)、矿产资源(如石油、天然气、石英砂等)及动力资源(如潮汐能、波浪能等)。
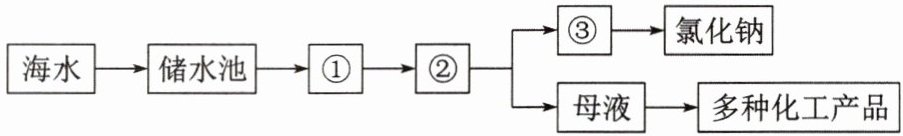
(2) 海水“晒盐”的基本流程如图,其中①是
(1) 海水中含有 80 多种元素,海洋是巨大的资源宝库,海洋资源包括生物资源(如鱼、虾等)、化学资源(如氯化钠、氯化镁、硫酸镁等)、矿产资源(如石油、天然气、石英砂等)及动力资源(如潮汐能、波浪能等)。
(2) 海水“晒盐”的基本流程如图,其中①是
蒸发池
,②是结晶池
,③是粗盐
。答案:1.(2)蒸发池 结晶池 粗盐
2. 粗盐提纯
(1) 实验步骤:
(2) 注意事项及问题讨论:① 过滤操作做到“一贴、
(1) 实验步骤:
溶解
、过滤
、蒸发
、计算产率。(2) 注意事项及问题讨论:① 过滤操作做到“一贴、
二低
、三靠
”。② 蒸发过程中要用到蒸发皿
、铁架台(带铁圈)
、酒精灯
、玻璃棒
等仪器。当蒸发皿中出现较多固体
时,停止加热,利用余热
蒸干。③ 在四步操作中都用到的仪器是玻璃棒
,其作用依次为加快溶解
;引流
;搅拌,使液体受热均匀,防止局部温度过高,造成液滴飞溅
;转移固体
。答案:2.(1)溶解 过滤 蒸发 (2)①二低 三靠 ②蒸发皿 铁架台(带铁圈) 酒精灯 玻璃棒 较多固体 余热 ③玻璃棒 加快溶解 引流 搅拌,使液体受热均匀,防止局部温度过高,造成液滴飞溅 转移固体
1. (2024·南通一模)《本草纲目》中记载了粗食盐的一种制作过程:“取盐于池旁耕地,沃以池水,每得南风急,则宿夕成盐。”“南风”通常指暖风,“南风急”有利于粗盐提纯操作中的(
A.溶解
B.沉降
C.过滤
D.蒸发
D
)A.溶解
B.沉降
C.过滤
D.蒸发
答案:1.D
2. 下列有关海水综合利用的说法,正确的是(
A.海水中含有镁元素,只需经过物理变化就可以得到金属镁
B.在鱼类繁殖期间禁止捕捞
C.用静置、过滤的方法,使海水淡化
D.潮汐发电是通过化学反应提供能量的
B
)A.海水中含有镁元素,只需经过物理变化就可以得到金属镁
B.在鱼类繁殖期间禁止捕捞
C.用静置、过滤的方法,使海水淡化
D.潮汐发电是通过化学反应提供能量的
答案:2.B
3. 小文做粗盐(含难溶性杂质)提纯的实验并计算精盐的产率,如图为部分操作的示意图。

(1) 操作③中用玻璃棒搅拌的目的是
(2) 图示中正确的操作顺序为
(3) 操作①溶解过程中有部分液体溅出,会使所得精盐的产率
(1) 操作③中用玻璃棒搅拌的目的是
使液体受热均匀,防止局部温度过高,造成液滴飞溅
。(2) 图示中正确的操作顺序为
④⑤①②③
(填序号)。(3) 操作①溶解过程中有部分液体溅出,会使所得精盐的产率
偏低
(填“偏高”“偏低”或“无影响”)。答案:3.(1)使液体受热均匀,防止局部温度过高,造成液滴飞溅 (2)④⑤①②③ (3)偏低