14. $F_{1}$和$F_{2}$是同一直线上的两个力,它们的合力大小为$30N$,方向向左.已知$F_{1}$的大小为$40N$,关于$F_{2}$的大小和方向,下列说法中正确的是(
A.$F_{2}$的大小一定是$70N$
B.$F_{2}$的大小一定是$10N$
C.$F_{2}$的方向一定向左
D.$F_{2}$的方向可能向左,也可能向右
D
)A.$F_{2}$的大小一定是$70N$
B.$F_{2}$的大小一定是$10N$
C.$F_{2}$的方向一定向左
D.$F_{2}$的方向可能向左,也可能向右
答案:14. D
解析:
设向左为正方向,合力$F = 30N$。
情况一:$F_1$方向向左,$F_1 = 40N$。
由$F = F_1 + F_2$,得$30N = 40N + F_2$,解得$F_2 = -10N$,方向向右,大小$10N$。
情况二:$F_1$方向向右,$F_1 = -40N$。
由$F = F_1 + F_2$,得$30N = -40N + F_2$,解得$F_2 = 70N$,方向向左,大小$70N$。
综上,$F_2$大小可能为$10N$或$70N$,方向可能向左或向右。
D
情况一:$F_1$方向向左,$F_1 = 40N$。
由$F = F_1 + F_2$,得$30N = 40N + F_2$,解得$F_2 = -10N$,方向向右,大小$10N$。
情况二:$F_1$方向向右,$F_1 = -40N$。
由$F = F_1 + F_2$,得$30N = -40N + F_2$,解得$F_2 = 70N$,方向向左,大小$70N$。
综上,$F_2$大小可能为$10N$或$70N$,方向可能向左或向右。
D
15. 放在水平地面上的水桶重$360N$,小明用$260N$的力向上提它,水桶未动,则水桶受到的合力大小为(
A.$360N$
B.$260N$
C.$0N$
D.$40N$
C
)A.$360N$
B.$260N$
C.$0N$
D.$40N$
答案:15. C
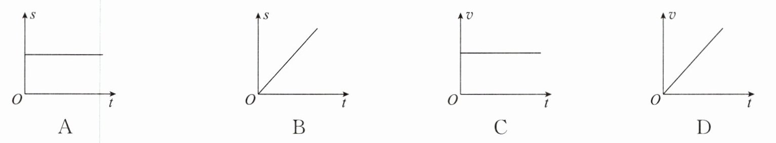
16. 如图所示,下列四个有关物体运动状态描述的图像中,物体所受合力不为零的是(

A.
B.
C.
D.
D
)A.
B.
C.
D.
答案:16. D
解析:
物体所受合力不为零,则物体的运动状态发生改变,即速度发生改变(速度大小或方向改变)。
A图:s-t图像是平行于时间轴的直线,物体静止,速度为0,合力为零。
B图:s-t图像是过原点的倾斜直线,物体做匀速直线运动,速度不变,合力为零。
C图:v-t图像是平行于时间轴的直线,物体做匀速直线运动,速度不变,合力为零。
D图:v-t图像是过原点的倾斜直线,物体做匀加速直线运动,速度增大,合力不为零。
D
A图:s-t图像是平行于时间轴的直线,物体静止,速度为0,合力为零。
B图:s-t图像是过原点的倾斜直线,物体做匀速直线运动,速度不变,合力为零。
C图:v-t图像是平行于时间轴的直线,物体做匀速直线运动,速度不变,合力为零。
D图:v-t图像是过原点的倾斜直线,物体做匀加速直线运动,速度增大,合力不为零。
D
17. 明明同学用水平向右的力推静止于水平桌面上的木块,推力$F$的大小以及木块的运动速度$v$随时间$t$的变化情况如图甲、乙所示,则(
A.在$0~6s$内,推力小于摩擦力
B.在$0~6s$内,木块受静摩擦力
C.在$t = 7s$时,木块受到的摩擦力为$12N$
D.当$F = 11N$时,木块一定做加速直线运动
B
)A.在$0~6s$内,推力小于摩擦力
B.在$0~6s$内,木块受静摩擦力
C.在$t = 7s$时,木块受到的摩擦力为$12N$
D.当$F = 11N$时,木块一定做加速直线运动
答案:17. B 点拨:由题中 $ v-t $ 图像可知,在 $ 0 ∼ 6s $ 内,木块的速度为 0,处于静止状态,受到的推力等于静摩擦力,故 A 错误,B 正确;由题中 $ v-t $ 图像可知,在 $ 6 ∼ 8s $ 内,木块做加速运动,8s 后木块做匀速直线运动,木块处于平衡状态,受到水平向右的推力和水平向左的滑动摩擦力是一对平衡力,由二力平衡条件和 $ F-t $ 图像可得:$ f = F = 10N $;因滑动摩擦力的大小只与接触面的粗糙程度和压力的大小有关,与运动的速度无关,故在 $ 6 ∼ 8s $ 内,木块做匀加速直线运动,木块受到的摩擦力仍然为 10N,故 C 错误;由题中 $ F-t $ 图像可知,在 $ 0 ∼ 6s $ 内,木块受到的最大推力为 12N,由题中 $ v-t $ 图像可知,在 $ 0 ∼ 6s $ 内,木块静止,处于平衡状态,所以,当 $ F = 11N $ 时,木块可能处于静止状态,故 D 错误。
18. 如图,将一袋大米放在匀速向右运动的输送带上,开始时,米袋与输送带间有一段距离的相对滑动,然后米袋随输送带一起匀速运动.当输送带突然制动时,米袋会继续向前滑动一段距离后停下.(回答下列小题,请填以下合适的字母标号)
A. 受到方向向右的摩擦力
B. 受到方向向左的摩擦力
C. 不受力

(1)米袋刚放上输送带的瞬间,米袋在水平方向上的受力情况为
(2)当米袋随输送带一起匀速运动时,米袋在水平方向上的受力情况为
(3)当将输送带突然制动时,米袋在水平方向上的受力情况为
(4)将米袋以大于输送带且向右的速度放上去,米袋在水平方向上的受力情况为
A. 受到方向向右的摩擦力
B. 受到方向向左的摩擦力
C. 不受力
(1)米袋刚放上输送带的瞬间,米袋在水平方向上的受力情况为
A
.(2)当米袋随输送带一起匀速运动时,米袋在水平方向上的受力情况为
C
.(3)当将输送带突然制动时,米袋在水平方向上的受力情况为
B
.(4)将米袋以大于输送带且向右的速度放上去,米袋在水平方向上的受力情况为
B
.答案:18. (1) A (2) C (3) B (4) B
点拨:(1) 米袋刚放上输送带的瞬间,米袋与输送带间有一段距离的相对滑动,米袋相对于输送带向左运动,故输送带对米袋施加向右的摩擦力。
(2) 物体做匀速直线运动时,可能不受力,可能受平衡力。米袋向右匀速运动时,水平方向上如果受摩擦力,一定有另一个力与它平衡,因为没有其他力,所以不受摩擦力。
(3) 当将输送带突然制动时,米袋会继续向前滑动一段距离,米袋相对于输送带向右运动,故输送带对米袋施加向左的摩擦力。
(4) 米袋以大于输送带且向右的速度放上去,米袋相对于输送带向右运动,故输送带对米袋施加向左的摩擦力。
点拨:(1) 米袋刚放上输送带的瞬间,米袋与输送带间有一段距离的相对滑动,米袋相对于输送带向左运动,故输送带对米袋施加向右的摩擦力。
(2) 物体做匀速直线运动时,可能不受力,可能受平衡力。米袋向右匀速运动时,水平方向上如果受摩擦力,一定有另一个力与它平衡,因为没有其他力,所以不受摩擦力。
(3) 当将输送带突然制动时,米袋会继续向前滑动一段距离,米袋相对于输送带向右运动,故输送带对米袋施加向左的摩擦力。
(4) 米袋以大于输送带且向右的速度放上去,米袋相对于输送带向右运动,故输送带对米袋施加向左的摩擦力。