China has many wonderful places of interest. No matter which season you travel in, you can have a fantastic tour and make happy memories.
Spring is the best time to visit Wuyuan in Jiangxi Province. The yellow flowers all over the hills make the villages look like a fairy - tale world. You can walk across the beautiful countryside and enjoy the warm tea. You can also visit the old villages with white walls and black roofs. The rivers there are clean, and you may see small fish swimming.
The best time to visit the Changbai Mountains in Jilin Province is August. It is usually sunny. Why not go to the Valley Float Stone Forest and Heaven Lake at the top? You can walk in the forest around the mountains and take photos of the breathtaking lake.
In autumn, you can see all the colours of autumn from the top of the Great Wall. It is cool and dry, so it is great for hiking. You’d better walk on the Mutianyu Great Wall. There won’t be as many tourists as at the Badaling Great Wall, but it is just beautiful.
Sanya in Hainan is a great place for a holiday in winter. You can get away from the cold. The three famous beaches, Yalong Bay Beach, Sanya Bay Beach and Dadonghai Beach, all have great sand. You’ll love swimming in the clear water and collecting beautiful shells.
China’s beauty is everywhere. There’s always a great spot waiting for you to explore. So pack your bags and start your wonderful trip!
() 42. Why is spring the best time to visit Wuyuan?
A. Because you can see white walls and black roofs there.
B. Because the hills covered with yellow flowers are beautiful.
C. Because you can swim in clean rivers and see small fish.
D. Because it is cool and dry, perfect for hiking.
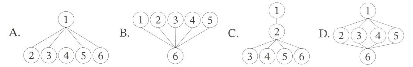
() 43. What is the structure of the passage?

() 44. Which of the following is NOT true about Sanya?
A. It is a good place for a winter holiday.
B. It has three famous beaches with great sand.
C. You can swim in clear water and collect shells.
D. You can see yellow flowers all over the hills.
() 45. What is the main idea of the passage?
A. China has many interesting places to visit in different seasons.
B. To make happy memories, you’d better visit all the four places.
C. The best way to enjoy China’s beauty is to visit places in spring.
D. Each season has only one perfect place to enjoy in China.
Spring is the best time to visit Wuyuan in Jiangxi Province. The yellow flowers all over the hills make the villages look like a fairy - tale world. You can walk across the beautiful countryside and enjoy the warm tea. You can also visit the old villages with white walls and black roofs. The rivers there are clean, and you may see small fish swimming.
The best time to visit the Changbai Mountains in Jilin Province is August. It is usually sunny. Why not go to the Valley Float Stone Forest and Heaven Lake at the top? You can walk in the forest around the mountains and take photos of the breathtaking lake.
In autumn, you can see all the colours of autumn from the top of the Great Wall. It is cool and dry, so it is great for hiking. You’d better walk on the Mutianyu Great Wall. There won’t be as many tourists as at the Badaling Great Wall, but it is just beautiful.
Sanya in Hainan is a great place for a holiday in winter. You can get away from the cold. The three famous beaches, Yalong Bay Beach, Sanya Bay Beach and Dadonghai Beach, all have great sand. You’ll love swimming in the clear water and collecting beautiful shells.
China’s beauty is everywhere. There’s always a great spot waiting for you to explore. So pack your bags and start your wonderful trip!
() 42. Why is spring the best time to visit Wuyuan?
A. Because you can see white walls and black roofs there.
B. Because the hills covered with yellow flowers are beautiful.
C. Because you can swim in clean rivers and see small fish.
D. Because it is cool and dry, perfect for hiking.
() 43. What is the structure of the passage?
() 44. Which of the following is NOT true about Sanya?
A. It is a good place for a winter holiday.
B. It has three famous beaches with great sand.
C. You can swim in clear water and collect shells.
D. You can see yellow flowers all over the hills.
() 45. What is the main idea of the passage?
A. China has many interesting places to visit in different seasons.
B. To make happy memories, you’d better visit all the four places.
C. The best way to enjoy China’s beauty is to visit places in spring.
D. Each season has only one perfect place to enjoy in China.
答案:42. B
43. D
44. D
45. A
43. D
44. D
45. A
解析:
【解析】
42. 根据文章第二段“Spring is the best time to visit Wuyuan in Jiangxi Province. The yellow flowers all over the hills make the villages look like a fairy - tale world.”可知,春天适合去婺源的原因是漫山的黄花让村落如童话世界,故选B。
43. 文章为总-分-总结构:①段总述中国有诸多美景,四季皆可游览;②-⑤段分别介绍春夏秋冬适合游玩的景点;⑥段总结呼吁探索。对应结构D。
44. 选项D是婺源春天的景观,并非三亚的特点,其余选项均符合三亚的描述,故选D。
45. 文章开篇总起中国有诸多名胜,不同季节都能拥有美好旅行,中间分述不同季节的景点,结尾总结,主旨为中国有很多不同季节可游览的有趣去处,故选A。
【答案】
42. B;43. D;44. D;45. A
【知识点】
细节信息提取、文章结构判断、主旨大意归纳
【点评】
本文介绍了中国不同季节适合游览的特色景点,题目考查对原文细节的抓取、文章结构的梳理及主旨的归纳,需学生精准定位原文信息。
【难度系数】
0.6
42. 根据文章第二段“Spring is the best time to visit Wuyuan in Jiangxi Province. The yellow flowers all over the hills make the villages look like a fairy - tale world.”可知,春天适合去婺源的原因是漫山的黄花让村落如童话世界,故选B。
43. 文章为总-分-总结构:①段总述中国有诸多美景,四季皆可游览;②-⑤段分别介绍春夏秋冬适合游玩的景点;⑥段总结呼吁探索。对应结构D。
44. 选项D是婺源春天的景观,并非三亚的特点,其余选项均符合三亚的描述,故选D。
45. 文章开篇总起中国有诸多名胜,不同季节都能拥有美好旅行,中间分述不同季节的景点,结尾总结,主旨为中国有很多不同季节可游览的有趣去处,故选A。
【答案】
42. B;43. D;44. D;45. A
【知识点】
细节信息提取、文章结构判断、主旨大意归纳
【点评】
本文介绍了中国不同季节适合游览的特色景点,题目考查对原文细节的抓取、文章结构的梳理及主旨的归纳,需学生精准定位原文信息。
【难度系数】
0.6