A
Most people have a favourite colour, but how people feel about colours depends on their culture. This can be very important to people in business that sell products all over the world. They might choose a colour because they think it is exciting or attractive, but in another country that same colour could be used to give a sad message. Look at these examples.
If you ask someone in Britain what the right colour is for a bride to wear, the answer will be white. In many Eastern countries, brides often wear red because the colour red is a sign of good luck, happiness and prosperity(繁荣). ▲ In Britain, red is used as a sign of danger. Road signs and warning labels (标签) are often in red. In Eastern cultures, the colour red does not mean you have to be careful.
In Egypt, yellow is the colour linked to death. In Britain and other Western cultures, death and funerals(葬礼) are usually linked to the colour black, but in many Eastern countries, white is the colour most people connect with death and funerals.
Many people like the colour orange because it is bright and exciting. Some advertisers will not use orange in their advertisements because they believe it suggests that the products are cheap and perhaps not of good quality.
In a word, colours have different meanings in different cultures. We should learn to choose the proper colour in some special situation.
(
A. To choose a favourite colour for readers.
B. To introduce different colours in the world.
C. To help advertisers decide the right colours in their advertisements.
D. To explain different cultures have different meanings to the same colour.
(
A. Red is an unusual colour for a British bride to wear.
B. People may choose some other colours to wear.
C. They don't understand the meaning of white.
D. They refuse to use other colours.
(

(
A. Colours in different careers
B. The meaning of colours
C. Colours between China and Britain
D. Colours around the world
Most people have a favourite colour, but how people feel about colours depends on their culture. This can be very important to people in business that sell products all over the world. They might choose a colour because they think it is exciting or attractive, but in another country that same colour could be used to give a sad message. Look at these examples.
If you ask someone in Britain what the right colour is for a bride to wear, the answer will be white. In many Eastern countries, brides often wear red because the colour red is a sign of good luck, happiness and prosperity(繁荣). ▲ In Britain, red is used as a sign of danger. Road signs and warning labels (标签) are often in red. In Eastern cultures, the colour red does not mean you have to be careful.
In Egypt, yellow is the colour linked to death. In Britain and other Western cultures, death and funerals(葬礼) are usually linked to the colour black, but in many Eastern countries, white is the colour most people connect with death and funerals.
Many people like the colour orange because it is bright and exciting. Some advertisers will not use orange in their advertisements because they believe it suggests that the products are cheap and perhaps not of good quality.
In a word, colours have different meanings in different cultures. We should learn to choose the proper colour in some special situation.
(
D
) 1. Why does the writer give so many examples in the passage?A. To choose a favourite colour for readers.
B. To introduce different colours in the world.
C. To help advertisers decide the right colours in their advertisements.
D. To explain different cultures have different meanings to the same colour.
(
A
) 2. Which of the following can be put in the blank in paragraph 2?A. Red is an unusual colour for a British bride to wear.
B. People may choose some other colours to wear.
C. They don't understand the meaning of white.
D. They refuse to use other colours.
(
A
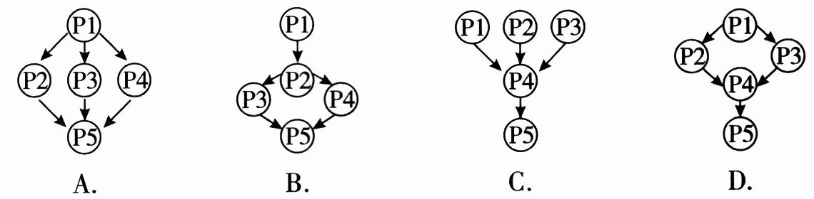
) 3. Which of the following can best show the structure of the passage? ( P1 = paragraph 1, P2= paragraph 2, ...)(
D
) 4. What would be the best title for the passage?A. Colours in different careers
B. The meaning of colours
C. Colours between China and Britain
D. Colours around the world
答案:1. D
2. A
3. A
4. D
2. A
3. A
4. D
解析:
翻译:
A
大多数人都有自己最喜欢的颜色,但人们对颜色的感受取决于他们的文化。这对在全球销售产品的商界人士来说可能非常重要。他们可能会因为觉得某种颜色令人兴奋或具有吸引力而选择它,但在另一个国家,同样的颜色可能被用来传递悲伤的信息。看看这些例子。
如果你问一个英国人新娘应该穿什么颜色的衣服,答案会是白色。在许多东方国家,新娘经常穿红色,因为红色是好运、幸福和繁荣的象征。▲在英国,红色被用作危险的标志。路标和警示标签通常是红色的。在东方文化中,红色并不意味着你必须小心。
在埃及,黄色是与死亡相关的颜色。在英国和其他西方文化中,死亡和葬礼通常与黑色相关,但在许多东方国家,白色是大多数人将其与死亡和葬礼联系在一起的颜色。
许多人喜欢橙色,因为它明亮且令人兴奋。一些广告商不会在他们的广告中使用橙色,因为他们认为它暗示产品很便宜,而且可能质量不好。
总之,颜色在不同的文化中有不同的含义。我们应该学会在一些特殊情况下选择合适的颜色。
( )1. 作者在文章中举这么多例子的原因是什么?
A. 为读者选择一种最喜欢的颜色。
B. 介绍世界上不同的颜色。
C. 帮助广告商在他们的广告中确定合适的颜色。
D. 解释不同的文化对同一种颜色有不同的含义。
( )2. 下列哪一项可以填入第二段的空白处?
A. 对于英国新娘来说,穿红色是一种不寻常的选择。
B. 人们可能会选择一些其他的颜色来穿。
C. 他们不理解白色的含义。
D. 他们拒绝使用其他颜色。
( )3. 下列哪一项最能体现文章的结构?(P1 = 第一段,P2 = 第二段,……)
( )4. 这篇文章的最佳标题是什么?
A. 不同职业中的颜色
B. 颜色的含义
C. 中国和英国之间的颜色
D. 世界各地的颜色
A
大多数人都有自己最喜欢的颜色,但人们对颜色的感受取决于他们的文化。这对在全球销售产品的商界人士来说可能非常重要。他们可能会因为觉得某种颜色令人兴奋或具有吸引力而选择它,但在另一个国家,同样的颜色可能被用来传递悲伤的信息。看看这些例子。
如果你问一个英国人新娘应该穿什么颜色的衣服,答案会是白色。在许多东方国家,新娘经常穿红色,因为红色是好运、幸福和繁荣的象征。▲在英国,红色被用作危险的标志。路标和警示标签通常是红色的。在东方文化中,红色并不意味着你必须小心。
在埃及,黄色是与死亡相关的颜色。在英国和其他西方文化中,死亡和葬礼通常与黑色相关,但在许多东方国家,白色是大多数人将其与死亡和葬礼联系在一起的颜色。
许多人喜欢橙色,因为它明亮且令人兴奋。一些广告商不会在他们的广告中使用橙色,因为他们认为它暗示产品很便宜,而且可能质量不好。
总之,颜色在不同的文化中有不同的含义。我们应该学会在一些特殊情况下选择合适的颜色。
( )1. 作者在文章中举这么多例子的原因是什么?
A. 为读者选择一种最喜欢的颜色。
B. 介绍世界上不同的颜色。
C. 帮助广告商在他们的广告中确定合适的颜色。
D. 解释不同的文化对同一种颜色有不同的含义。
( )2. 下列哪一项可以填入第二段的空白处?
A. 对于英国新娘来说,穿红色是一种不寻常的选择。
B. 人们可能会选择一些其他的颜色来穿。
C. 他们不理解白色的含义。
D. 他们拒绝使用其他颜色。
( )3. 下列哪一项最能体现文章的结构?(P1 = 第一段,P2 = 第二段,……)
( )4. 这篇文章的最佳标题是什么?
A. 不同职业中的颜色
B. 颜色的含义
C. 中国和英国之间的颜色
D. 世界各地的颜色