8. 如图,$△ ABC$和$△ A'B'C'$关于直线$MN$对称,$△ A'B'C'$和$△ A''B''C''$关于直线$EF$对称.
(1) 画出直线$EF$;
(2) 直线$MN$与$EF$相交于点$O$,试探究$∠ BOB''$与直线$MN$,$EF$所夹锐角$α$的数量关系.
]
(1) 画出直线$EF$;
(2) 直线$MN$与$EF$相交于点$O$,试探究$∠ BOB''$与直线$MN$,$EF$所夹锐角$α$的数量关系.
答案:
8. (1)如图,直线EF即为所求.
(2)如图,连接BO,B'O,B''O.因为△ABC和△A'B'C'关于直线MN对称,所以∠BOM=∠B'OM.因为△A'B'C'和△A''B''C''关于直线EF对称,所以∠B'OE=∠B''OE,所以∠BOB''=∠BOM+∠B'OM+∠B'OE+∠B''OE=2(∠B'OM+∠B'OE)=2∠MOE,即∠BOB''=2α.
8. (1)如图,直线EF即为所求.
(2)如图,连接BO,B'O,B''O.因为△ABC和△A'B'C'关于直线MN对称,所以∠BOM=∠B'OM.因为△A'B'C'和△A''B''C''关于直线EF对称,所以∠B'OE=∠B''OE,所以∠BOB''=∠BOM+∠B'OM+∠B'OE+∠B''OE=2(∠B'OM+∠B'OE)=2∠MOE,即∠BOB''=2α.
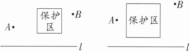
9. 新趋势 项目式学习 (2025·南京校级月考)利用图形的变换可以解决很多生活中的问题. 如图①,要在一条笔直的路边$l$上建一个燃气站,向$l$同侧的$A$,$B$两个城镇分别铺设管道输送燃气. 试确定燃气站的位置,使铺设管道的路线最短. 如图②,作出点$A$关于$l$的对称点$A'$,线段$A'B$与直线$l$的交点$P$的位置即为所求,即在$P$处建燃气站,所得路线$APB$是最短的.

(1) 如果在$A$,$B$两个城镇之间规划一个生态保护区,燃气管道不能穿过该区域,请分别给出下列两种情形的铺设管道的方案(不需说明理由,作图工具不限).
(2) 如图,已知$∠ AOB$及其内部一点$P$,试在$OA$,$OB$上分别确定点$M$,$N$,使$PM + PN + MN$最小(不需说明理由,作图工具不限).

]
(1) 如果在$A$,$B$两个城镇之间规划一个生态保护区,燃气管道不能穿过该区域,请分别给出下列两种情形的铺设管道的方案(不需说明理由,作图工具不限).
(2) 如图,已知$∠ AOB$及其内部一点$P$,试在$OA$,$OB$上分别确定点$M$,$N$,使$PM + PN + MN$最小(不需说明理由,作图工具不限).
]
答案:
9. (1)如图①,APCB即为所作.如图②,ADPCB即为所作.
解析:如图①,连接BC,作C关于l的对称点C',连接AC'交l于点P,即在点P处建燃气站,所得路线APCB是最短的;如图②,连接AD,BC,作点C关于l的对称点C',连接DC'交l于点P,即在点P处建燃气站,所得路线ADPCB是最短的.
(2)如图③,M,N即为所作. 解析:分别作点P关于OA,OB的对称点P',P'',连接P'P''分别交OA,OB于点M,N,连接PM,PN,由对称性可得PM=P'M,PN=P''N,则PM+PN+MN=P'M+P''N+MN=P'P'',根据两点之间线段最短可知,此时PM+PN+MN最小.

9. (1)如图①,APCB即为所作.如图②,ADPCB即为所作.
解析:如图①,连接BC,作C关于l的对称点C',连接AC'交l于点P,即在点P处建燃气站,所得路线APCB是最短的;如图②,连接AD,BC,作点C关于l的对称点C',连接DC'交l于点P,即在点P处建燃气站,所得路线ADPCB是最短的.
(2)如图③,M,N即为所作. 解析:分别作点P关于OA,OB的对称点P',P'',连接P'P''分别交OA,OB于点M,N,连接PM,PN,由对称性可得PM=P'M,PN=P''N,则PM+PN+MN=P'M+P''N+MN=P'P'',根据两点之间线段最短可知,此时PM+PN+MN最小.
10. (2025·南京期末节选)图形的变换
(1) 如图①,线段$AB$经过一次轴对称变换得到线段$A'B'$,$A$,$B$的对应点分别是$A'$,$B'$. 求作:点$B'$. (要求:尺规作图,保留作图痕迹,不写作法)

(2) 已知$△ ABC$先经过$1$次轴对称,再经过$1$次平移得到$△ A'B'C'$. 如图②,求作:经过点$P$的对称轴$l$. (要求:尺规作图,保留作用痕迹,并简述作法)

]
(1) 如图①,线段$AB$经过一次轴对称变换得到线段$A'B'$,$A$,$B$的对应点分别是$A'$,$B'$. 求作:点$B'$. (要求:尺规作图,保留作图痕迹,不写作法)
(2) 已知$△ ABC$先经过$1$次轴对称,再经过$1$次平移得到$△ A'B'C'$. 如图②,求作:经过点$P$的对称轴$l$. (要求:尺规作图,保留作用痕迹,并简述作法)
]
答案:
10. (1)如图①,B'即为所作.
解析:作法如下:连接AA',分别以A,A'为圆心,大于$\frac{1}{2}$AA'的长为半径画弧,两弧交于两点,过两个交点作直线l,以点B为圆心画弧交于直线l于点M,N,再分别以点M,N为圆心,以大于$\frac{1}{2}$MN长为半径画弧,作出线段MN的垂直平分线l',交MN于点P,以P为圆心,以BP为半径画弧交l'于点B',该点即为B点的对称点.
(2)如图②,l即为所作.作法简述如下:过点P作PM⊥AC,PQ⊥A'C',与AC,A'C'分别交于点M,Q,在PQ上找一点N,使得PM=PN,过点P作MN的垂线,该垂线即为对称轴l.
思路如下:设△ABC经过1次轴对称后的图形为△A₁B₁C₁(图中未画出),因为PM⊥AC,PQ⊥A'C',所以由平移的性质可得PQ⊥A₁C₁,在PQ上截取一段PN,使得PN=PM,则PN⊥A₁C₁,由轴对称的性质可得,点N在直线A₁C₁上,点M,N关于经过点P的直线l对称,最后过点P作MN的垂线即可确定对称轴l.
10. (1)如图①,B'即为所作.
解析:作法如下:连接AA',分别以A,A'为圆心,大于$\frac{1}{2}$AA'的长为半径画弧,两弧交于两点,过两个交点作直线l,以点B为圆心画弧交于直线l于点M,N,再分别以点M,N为圆心,以大于$\frac{1}{2}$MN长为半径画弧,作出线段MN的垂直平分线l',交MN于点P,以P为圆心,以BP为半径画弧交l'于点B',该点即为B点的对称点.
(2)如图②,l即为所作.作法简述如下:过点P作PM⊥AC,PQ⊥A'C',与AC,A'C'分别交于点M,Q,在PQ上找一点N,使得PM=PN,过点P作MN的垂线,该垂线即为对称轴l.
思路如下:设△ABC经过1次轴对称后的图形为△A₁B₁C₁(图中未画出),因为PM⊥AC,PQ⊥A'C',所以由平移的性质可得PQ⊥A₁C₁,在PQ上截取一段PN,使得PN=PM,则PN⊥A₁C₁,由轴对称的性质可得,点N在直线A₁C₁上,点M,N关于经过点P的直线l对称,最后过点P作MN的垂线即可确定对称轴l.