7. 在同一平面直角坐标系中, 直线 $ y = 4x + 1 $ 与直线 $ y = - x + b $ 的交点不可能在 (
A.第一象限
B.第二象限
C.第三象限
D.第四象限
D
)A.第一象限
B.第二象限
C.第三象限
D.第四象限
答案:7.D
解析:
联立两直线方程:$\begin{cases}y = 4x + 1 \\ y = -x + b\end{cases}$
解得:$x = \frac{b - 1}{5}$,$y = \frac{4b + 1}{5}$
情况1:交点在第一象限
$\begin{cases}\frac{b - 1}{5} > 0 \\ \frac{4b + 1}{5} > 0\end{cases}$
解得$b > 1$,可能。
情况2:交点在第二象限
$\begin{cases}\frac{b - 1}{5} < 0 \\ \frac{4b + 1}{5} > 0\end{cases}$
解得$-\frac{1}{4} < b < 1$,可能。
情况3:交点在第三象限
$\begin{cases}\frac{b - 1}{5} < 0 \\ \frac{4b + 1}{5} < 0\end{cases}$
解得$b < -\frac{1}{4}$,可能。
情况4:交点在第四象限
$\begin{cases}\frac{b - 1}{5} > 0 \\ \frac{4b + 1}{5} < 0\end{cases}$
$b > 1$且$b < -\frac{1}{4}$,无解,不可能。
D
解得:$x = \frac{b - 1}{5}$,$y = \frac{4b + 1}{5}$
情况1:交点在第一象限
$\begin{cases}\frac{b - 1}{5} > 0 \\ \frac{4b + 1}{5} > 0\end{cases}$
解得$b > 1$,可能。
情况2:交点在第二象限
$\begin{cases}\frac{b - 1}{5} < 0 \\ \frac{4b + 1}{5} > 0\end{cases}$
解得$-\frac{1}{4} < b < 1$,可能。
情况3:交点在第三象限
$\begin{cases}\frac{b - 1}{5} < 0 \\ \frac{4b + 1}{5} < 0\end{cases}$
解得$b < -\frac{1}{4}$,可能。
情况4:交点在第四象限
$\begin{cases}\frac{b - 1}{5} > 0 \\ \frac{4b + 1}{5} < 0\end{cases}$
$b > 1$且$b < -\frac{1}{4}$,无解,不可能。
D
8. 已知三条直线 $ (m - 2)x + y = 3,x - y = 3 $ 与 $ 2x - y = 2 $ 交于同一点, 那么 $ m $ 的值为
$-5$
.答案:8.$-5$
解析:
解:联立方程$\begin{cases}x - y = 3 \\ 2x - y = 2\end{cases}$,
由$x - y = 3$得$y = x - 3$,
将$y = x - 3$代入$2x - y = 2$,得$2x - (x - 3) = 2$,
解得$x = -1$,
将$x = -1$代入$y = x - 3$,得$y = -4$,
所以交点坐标为$(-1, -4)$,
将$(-1, -4)$代入$(m - 2)x + y = 3$,得$(m - 2)(-1) + (-4) = 3$,
解得$m = -5$。
由$x - y = 3$得$y = x - 3$,
将$y = x - 3$代入$2x - y = 2$,得$2x - (x - 3) = 2$,
解得$x = -1$,
将$x = -1$代入$y = x - 3$,得$y = -4$,
所以交点坐标为$(-1, -4)$,
将$(-1, -4)$代入$(m - 2)x + y = 3$,得$(m - 2)(-1) + (-4) = 3$,
解得$m = -5$。
9. 已知关于 $ x,y $ 的二元一次方程组 $ \begin{cases}(2 - k)x - y + 1 = 0, \\ y = (2k + 5)x + 3\end{cases}$ 无解, 则一次函数 $ y = kx + 2 $ 的图象经过第 ______ 象限.
答案:9.一、二、四
解析:
将方程组整理为:
$\begin{cases}(2 - k)x - y = -1 \\(2k + 5)x - y = -3\end{cases}$
因为方程组无解,所以$\frac{2 - k}{2k + 5} = \frac{-1}{-1} \neq \frac{-1}{-3}$,即$\frac{2 - k}{2k + 5} = 1$且$1 \neq \frac{1}{3}$。
由$\frac{2 - k}{2k + 5} = 1$,得$2 - k = 2k + 5$,解得$k = -1$。
一次函数为$y = -x + 2$,其图象经过第一、二、四象限。
一、二、四
$\begin{cases}(2 - k)x - y = -1 \\(2k + 5)x - y = -3\end{cases}$
因为方程组无解,所以$\frac{2 - k}{2k + 5} = \frac{-1}{-1} \neq \frac{-1}{-3}$,即$\frac{2 - k}{2k + 5} = 1$且$1 \neq \frac{1}{3}$。
由$\frac{2 - k}{2k + 5} = 1$,得$2 - k = 2k + 5$,解得$k = -1$。
一次函数为$y = -x + 2$,其图象经过第一、二、四象限。
一、二、四
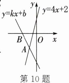
10. (数形结合思想)如图, 经过点 $ B(-2,0) $ 的直线 $ y = kx + b $ 与直线 $ y = 4x + 2 $ 交于点 $ A(-1,-2) $, 则不等式组 $ 4x + 2 \leq kx + b < 0 $ 的解集为

$-2 < x \leq -1$
.答案:10.$-2 < x \leq -1$
解析:
解:因为直线$y = kx + b$经过点$B(-2,0)$和点$A(-1,-2)$,直线$y = 4x + 2$也经过点$A(-1,-2)$。
观察图像可知,当$4x + 2 \leq kx + b$时,$x \leq -1$;当$kx + b < 0$时,$x > -2$。
所以不等式组$4x + 2 \leq kx + b < 0$的解集为$-2 < x \leq -1$。
$-2 < x \leq -1$
观察图像可知,当$4x + 2 \leq kx + b$时,$x \leq -1$;当$kx + b < 0$时,$x > -2$。
所以不等式组$4x + 2 \leq kx + b < 0$的解集为$-2 < x \leq -1$。
$-2 < x \leq -1$
11. (教材变式)1 号探测气球从海拔 $ 10 \, \mathrm{m} $ 处出发, 以 $ 1 \, \mathrm{m/min} $ 的速度竖直上升, 与此同时, 2 号探测气球从海拔 $ 20 \, \mathrm{m} $ 处出发, 以 $ a \, \mathrm{m/min} $ 的速度竖直上升, 两个气球都上升了 $ 1 \, \mathrm{h} $. 1 号、2 号气球所在位置的海拔 $ y_1(\mathrm{m}),y_2(\mathrm{m}) $ 与上升时间 $ x(\mathrm{min}) $ 之间的函数关系如图所示.
(1) $ a = $
(2) 直接写出 $ y_1,y_2 $ 与 $ x $ 之间的函数解析式;
(3) 当上升多长时间时, 两个气球的海拔差为 $ 5 \, \mathrm{m} $?

(1) $ a = $
$0.5$
, $ b = $$30$
;(2) 直接写出 $ y_1,y_2 $ 与 $ x $ 之间的函数解析式;
(3) 当上升多长时间时, 两个气球的海拔差为 $ 5 \, \mathrm{m} $?
答案:11.(1)$0.5$ $30$ (2)根据题意,得$y_1 = x + 10$,$y_2 = 0.5x + 20$
(3)分两种情况:①若$2$号探测气球比$1$号探测气球海拔高$5m$,则$(0.5x + 20) - (x + 10) = 5$,解得$x = 10$;②若$1$号探测气球比$2$号探测气球海拔高$5m$,则$(x + 10) - (0.5x + 20) = 5$,解得$x = 30$.综上所述,当上升$10min$或$30min$时,两个气球的海拔差为$5m$
(3)分两种情况:①若$2$号探测气球比$1$号探测气球海拔高$5m$,则$(0.5x + 20) - (x + 10) = 5$,解得$x = 10$;②若$1$号探测气球比$2$号探测气球海拔高$5m$,则$(x + 10) - (0.5x + 20) = 5$,解得$x = 30$.综上所述,当上升$10min$或$30min$时,两个气球的海拔差为$5m$
12. 如图, 一次函数 $ y = -\frac{1}{2}x + b $ 的图象与 $ y $ 轴交于点 $ A $, 与 $ x $ 轴交于点 $ B $, 与正比例函数 $ y = 2x $ 的图象交于点 $ C(1,a) $.
(1) 求 $ a,b $ 的值.
(2) 方程组 $ \begin{cases}2x - y = 0, \\ \frac{1}{2}x + y = b\end{cases}$ 的解为 ______ .
(3) 在函数 $ y = 2x $ 的图象上是否存在点 $ P $, 使得 $ \triangle BOP $ 的面积比 $ \triangle AOP $ 的面积大 $ 5 $? 若存在, 请求出点 $ P $ 的坐标; 若不存在, 请说明理由.

(1) 求 $ a,b $ 的值.
(2) 方程组 $ \begin{cases}2x - y = 0, \\ \frac{1}{2}x + y = b\end{cases}$ 的解为 ______ .
(3) 在函数 $ y = 2x $ 的图象上是否存在点 $ P $, 使得 $ \triangle BOP $ 的面积比 $ \triangle AOP $ 的面积大 $ 5 $? 若存在, 请求出点 $ P $ 的坐标; 若不存在, 请说明理由.
答案:12.(1)由题意,得点$C(1,a)$在函数$y = 2x$的图象上,$\therefore a = 2×1 = 2.\therefore$点$C$的坐标为$(1,2).\because$点$C(1,2)$在函数$y = -\frac{1}{2}x + b$
的图象上,$\therefore -\frac{1}{2} + b = 2.\therefore b = \frac{5}{2}$ (2)$\begin{cases}x = 1, \\y = 2 \end{cases}$ (3)存在
$\because$点$P$在函数$y = 2x$的图象上,$\therefore$设点$P$的坐标为$(x,2x)$.
$\because$一次函数的解析式为$y = -\frac{1}{2}x + \frac{5}{2}$,$\therefore$易得$A(0,\frac{5}{2})$,$B(5,0).\therefore OA = \frac{5}{2}$,$OB = 5$.过点$P$作$PM ⊥ x$轴于点$M$,$PN ⊥ y$轴于点$N.\therefore S_{\triangle BOP} = \frac{1}{2}OB·PM = \frac{1}{2}×5×|2x| = 5|x|$,$S_{\triangle AOP} = \frac{1}{2}OA·PN = \frac{1}{2}×\frac{5}{2}×|x| = \frac{5}{4}|x|$.由题意,得$5|x| = \frac{5}{4}|x| + 5$,解得$x = \frac{4}{3}$或$x = -\frac{4}{3}.\therefore$点$P$的坐标为$(\frac{4}{3},\frac{8}{3})$或$(-\frac{4}{3},-\frac{8}{3})$
的图象上,$\therefore -\frac{1}{2} + b = 2.\therefore b = \frac{5}{2}$ (2)$\begin{cases}x = 1, \\y = 2 \end{cases}$ (3)存在
$\because$点$P$在函数$y = 2x$的图象上,$\therefore$设点$P$的坐标为$(x,2x)$.
$\because$一次函数的解析式为$y = -\frac{1}{2}x + \frac{5}{2}$,$\therefore$易得$A(0,\frac{5}{2})$,$B(5,0).\therefore OA = \frac{5}{2}$,$OB = 5$.过点$P$作$PM ⊥ x$轴于点$M$,$PN ⊥ y$轴于点$N.\therefore S_{\triangle BOP} = \frac{1}{2}OB·PM = \frac{1}{2}×5×|2x| = 5|x|$,$S_{\triangle AOP} = \frac{1}{2}OA·PN = \frac{1}{2}×\frac{5}{2}×|x| = \frac{5}{4}|x|$.由题意,得$5|x| = \frac{5}{4}|x| + 5$,解得$x = \frac{4}{3}$或$x = -\frac{4}{3}.\therefore$点$P$的坐标为$(\frac{4}{3},\frac{8}{3})$或$(-\frac{4}{3},-\frac{8}{3})$