新知梳理
对于通过简单随机抽样获取的数据,可以用
对于通过简单随机抽样获取的数据,可以用
样本
的平均数估计总体的平均数。答案:样本
1. 为了解全校七年级学生做家务的情况,劳动委员小耿随机调查了8名七年级同学平均每周做家务劳动的天数:2,3,5,5,6,6,6,7。据此,小耿估计全校七年级同学平均每周做家务劳动的天数为(
A.6
B.5
C.4
D.3
B
)A.6
B.5
C.4
D.3
答案:1.B
解析:
$\bar{x}=\frac{2+3+5+5+6+6+6+7}{8}=\frac{40}{8}=5$,B
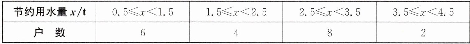
2. 对某小区20户家庭某月的节约用水情况进行分组统计,结果如下表所示:

该小区每户家庭该月节约用水量的平均数约是
该小区每户家庭该月节约用水量的平均数约是
2.3
t.答案:2.2.3
解析:
解:各组的组中值分别为1,2,3,4。
平均数为$\frac{1×6 + 2×4 + 3×8 + 4×2}{6 + 4 + 8 + 2}$
$=\frac{6 + 8 + 24 + 8}{20}$
$=\frac{46}{20}$
$=2.3$
2.3
平均数为$\frac{1×6 + 2×4 + 3×8 + 4×2}{6 + 4 + 8 + 2}$
$=\frac{6 + 8 + 24 + 8}{20}$
$=\frac{46}{20}$
$=2.3$
2.3
3. 木棉花,又称为英雄花,是广州市的市花. 有一批木棉树的树干的周长情况如图所示,则这批木棉树的树干的平均周长约为

59
cm.答案:3.59
解析:
各组的组中值分别为40、50、60、70。
平均周长为$\frac{1×40 + 2×50 + 4×60 + 3×70}{1+2+4+3}$
$=\frac{40 + 100 + 240 + 210}{10}$
$=\frac{590}{10}=59$cm。
59
平均周长为$\frac{1×40 + 2×50 + 4×60 + 3×70}{1+2+4+3}$
$=\frac{40 + 100 + 240 + 210}{10}$
$=\frac{590}{10}=59$cm。
59
4. 某校数学社团成员采用简单随机抽样的方法,抽取了本校八年级50名学生,对他们一周内平均每天的睡眠时间t(h)进行了调查,将调查结果整理后绘制成下表:

该样本中学生平均每天的睡眠时间在9~10h的百分比达到了22%.
(1)求表格中n的值;
(2)估计该校八年级学生平均每天的睡眠时间.
该样本中学生平均每天的睡眠时间在9~10h的百分比达到了22%.
(1)求表格中n的值;
(2)估计该校八年级学生平均每天的睡眠时间.
答案:4.(1) $n = 50 × 22\% = 11$ (2) $m = 50 - 1 - 5 - 24 - 11 = 9$,
$\therefore$ 估计该校八年级学生平均每天的睡眠时间是$\frac{1}{50} × (5.5 × 1 + 6.5 × 5 + 7.5 × 9 + 8.5 × 24 + 9.5 × 11) = 8.28(h)$
$\therefore$ 估计该校八年级学生平均每天的睡眠时间是$\frac{1}{50} × (5.5 × 1 + 6.5 × 5 + 7.5 × 9 + 8.5 × 24 + 9.5 × 11) = 8.28(h)$