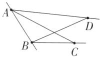
1. 按要求画线。
(1)画直线AB。(2分)
(2)画射线BC,AD。(4分)
(3)画线段AC,BD。(4分)
(4)用没有刻度的直尺和圆规画一条与线段AC同样长的线段。(2分)

(1)画直线AB。(2分)
(2)画射线BC,AD。(4分)
(3)画线段AC,BD。(4分)
(4)用没有刻度的直尺和圆规画一条与线段AC同样长的线段。(2分)
答案:
1.(1)~(3)如图所示
(4)
1.(1)~(3)如图所示
(4)
2. 先量出下面每个角的度数,填一填,再按要求分一分。(12分)

答案:

3. 按要求画角。
(1)用量角器画一个165°的角。(3分)
(2)用一副三角板画一个135°的角。(3分)
(1)用量角器画一个165°的角。(3分)
(2)用一副三角板画一个135°的角。(3分)
答案:
3.(1)
(2)
3.(1)
解析:
(1)步骤:①画一条射线,使量角器的中心和射线的端点重合,0°刻度线和射线重合;②在量角器165°刻度线的地方点一个点;③以画出的射线的端点为端点,通过刚画的点,再画一条射线,得到165°的角。
(2)步骤:用一副三角板中90°的角和45°的角拼在一起,90°+45°=135°,画出该角。
(2)步骤:用一副三角板中90°的角和45°的角拼在一起,90°+45°=135°,画出该角。
4. 新素养 创新意识 如图,用线段表示0°到360°。

(1)请在线段上用点A标出直角、用点B标出平角、用点C标出周角的相应位置。(3分)
(2)点D表示(
(1)请在线段上用点A标出直角、用点B标出平角、用点C标出周角的相应位置。(3分)
(2)点D表示(
钝
)角,点E表示(锐
)角。(4分)答案:
4.(1)
(2)钝 锐
4.(1)
(2)钝 锐