12. (2025·盐城校级月考)观察下列式子:
①1×4+2=2×3;
②2×5+2=3×4;
③3×6+2=4×5;
④4×7+2=5×6;
……
(1)猜想:第⑤个式子是
(2)探究规律:用含n的式子表示你发现的一般规律,并证明你的结论;
(3)应用你发现的规律计算:
$\frac{(2×5+2)×(4×7+2)×(6×9+2)×…×(2 024×2 027+2)}{(1×4+2)×(3×6+2)×(5×8+2)×…×(2 023×2 026+2)}.$
①1×4+2=2×3;
②2×5+2=3×4;
③3×6+2=4×5;
④4×7+2=5×6;
……
(1)猜想:第⑤个式子是
5×8 + 2 = 6×7
.(2)探究规律:用含n的式子表示你发现的一般规律,并证明你的结论;
(3)应用你发现的规律计算:
$\frac{(2×5+2)×(4×7+2)×(6×9+2)×…×(2 024×2 027+2)}{(1×4+2)×(3×6+2)×(5×8+2)×…×(2 023×2 026+2)}.$
答案:12. (1)5×8 + 2 = 6×7
(2)由题意可得规律为 n×(n + 3) + 2 = (n + 1)×(n + 2).证明如下:
∵ n×(n + 3) + 2 = n² + 3n + 2, (n + 1)×(n + 2) = n² + 2n + n + 2 = n² + 3n + 2,
∴ n×(n + 3) + 2 = (n + 1)×(n + 2).
(3)$\frac{(2×5 + 2)×(4×7 + 2)×(6×9 + 2)×···×(2024×2027 + 2)}{(1×4 + 2)×(3×6 + 2)×(5×8 + 2)×···×(2023×2026 + 2)} = \frac{3×4×5×6×7×8×···×2025×2026}{2×3×4×5×6×7×···×2024×2025} = \frac{2026}{2} = 1013$.
(2)由题意可得规律为 n×(n + 3) + 2 = (n + 1)×(n + 2).证明如下:
∵ n×(n + 3) + 2 = n² + 3n + 2, (n + 1)×(n + 2) = n² + 2n + n + 2 = n² + 3n + 2,
∴ n×(n + 3) + 2 = (n + 1)×(n + 2).
(3)$\frac{(2×5 + 2)×(4×7 + 2)×(6×9 + 2)×···×(2024×2027 + 2)}{(1×4 + 2)×(3×6 + 2)×(5×8 + 2)×···×(2023×2026 + 2)} = \frac{3×4×5×6×7×8×···×2025×2026}{2×3×4×5×6×7×···×2024×2025} = \frac{2026}{2} = 1013$.
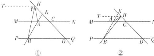
13. (2025·深圳期中)已知直线MN//PQ,点A,C在直线MN上,点B,D在直线PQ上,且点B在点A的左下方.
(1)如图①,若AB//CD,AE⊥AB,且∠EAM=42°,则∠CDQ的度数为
(2)如图②,若AB//CD,AE⊥AB,AG平分∠EAM,过点D作DF⊥CD交MN于点F,求证:2∠BAG=∠FDQ;
(3)如图③,若∠ABD=60°,直线AB和直线CD相交于点K,点H在PQ上方的直线CD上,试探究∠BAH,∠AHB和∠HBD之间的数量关系,并说明理由.


]
(1)如图①,若AB//CD,AE⊥AB,且∠EAM=42°,则∠CDQ的度数为
48°
;(2)如图②,若AB//CD,AE⊥AB,AG平分∠EAM,过点D作DF⊥CD交MN于点F,求证:2∠BAG=∠FDQ;
(3)如图③,若∠ABD=60°,直线AB和直线CD相交于点K,点H在PQ上方的直线CD上,试探究∠BAH,∠AHB和∠HBD之间的数量关系,并说明理由.
]
答案:
13. (1)48° 解析:
∵ AE ⊥ AB, ∠EAM = 42°,
∴ ∠BAM = 90° - ∠EAM = 48°.
∵ MN // PQ,
∴ ∠ABQ = ∠BAM = 48°.
∵ AB // CD,
∴ ∠CDQ = ∠ABQ = 48°.
(2)设 ∠BAG = x.
∵ AE ⊥ AB,
∴ ∠EAG = 90° - ∠BAG = 90° - x.
∵ AG 平分 ∠EAM,
∴ ∠EAM = 2∠EAG = 180° - 2x,
∴ ∠BAM = 90° - ∠EAM = 2x - 90°.
∵ MN // PQ, AB // CD,
∴ ∠ABQ = ∠BAM, ∠CDQ = ∠ABQ,
∴ ∠CDQ = ∠BAM = 2x - 90°.
∵ CD ⊥ DF,
∴ ∠FDQ = 90° + ∠CDQ = 2x,
∴ 2∠BAG = ∠FDQ.
(3)∠HBD + ∠AHB + ∠BAH = 240° 或 ∠AHB + ∠BAH - ∠HBD = 120°.理由如下:如图 ①,当点 H 在点 K 上方时,过点 H 作 HT // MN,则 HT // MN // PQ,
∴ ∠1 = ∠HBD, ∠MAB = ∠ABD = 60°, ∠AHT + ∠HAM = 180°,
∴ ∠HBD + ∠AHB + ∠HAM = 180°,
∴ ∠HBD + ∠AHB + ∠HAM + ∠MAB = 240°,
∴ ∠HBD + ∠AHB + ∠BAH = 240°;
如图 ②,当点 H 在点 C,K 之间时,过点 H 作 HT // MN,则 HT // MN // PQ,
∴ ∠HBD = ∠THB, ∠THA = ∠HAC, ∠BAC = 180° - ∠ABD = 120°,
∴ ∠HBD = ∠THA + ∠AHB = ∠AHB + ∠HAC,
∴ ∠HBD = ∠AHB + ∠BAH - ∠BAC,
∴ ∠AHB + ∠BAH - ∠HBD = ∠BAC,即 ∠AHB + ∠BAH - ∠HBD = 120°;
如图 ③,当点 H 在点 C,D 之间时,过点 H 作 HT // MN,则 HT // MN // PQ,
∴ ∠HAN = ∠AHT, ∠BHT = ∠HBD, ∠BAC = 180° - ∠ABD = 120°,
∴ ∠AHT = 120° - ∠BAH,
∴ ∠AHB = ∠AHT + ∠BHT = 120° - ∠BAH + ∠HBD,
∴ ∠AHB + ∠BAH - ∠HBD = 120°.当点 H 在点 K 或点 C 处时,经验证,符合 ∠AHB + ∠BAH - ∠HBD = 120°.
综上所述,满足条件的关系是 ∠HBD + ∠AHB + ∠BAH = 240° 或 ∠AHB + ∠BAH - ∠HBD = 120°.
13. (1)48° 解析:
∵ AE ⊥ AB, ∠EAM = 42°,
∴ ∠BAM = 90° - ∠EAM = 48°.
∵ MN // PQ,
∴ ∠ABQ = ∠BAM = 48°.
∵ AB // CD,
∴ ∠CDQ = ∠ABQ = 48°.
(2)设 ∠BAG = x.
∵ AE ⊥ AB,
∴ ∠EAG = 90° - ∠BAG = 90° - x.
∵ AG 平分 ∠EAM,
∴ ∠EAM = 2∠EAG = 180° - 2x,
∴ ∠BAM = 90° - ∠EAM = 2x - 90°.
∵ MN // PQ, AB // CD,
∴ ∠ABQ = ∠BAM, ∠CDQ = ∠ABQ,
∴ ∠CDQ = ∠BAM = 2x - 90°.
∵ CD ⊥ DF,
∴ ∠FDQ = 90° + ∠CDQ = 2x,
∴ 2∠BAG = ∠FDQ.
(3)∠HBD + ∠AHB + ∠BAH = 240° 或 ∠AHB + ∠BAH - ∠HBD = 120°.理由如下:如图 ①,当点 H 在点 K 上方时,过点 H 作 HT // MN,则 HT // MN // PQ,
∴ ∠1 = ∠HBD, ∠MAB = ∠ABD = 60°, ∠AHT + ∠HAM = 180°,
∴ ∠HBD + ∠AHB + ∠HAM = 180°,
∴ ∠HBD + ∠AHB + ∠HAM + ∠MAB = 240°,
∴ ∠HBD + ∠AHB + ∠BAH = 240°;
如图 ②,当点 H 在点 C,K 之间时,过点 H 作 HT // MN,则 HT // MN // PQ,
∴ ∠HBD = ∠THB, ∠THA = ∠HAC, ∠BAC = 180° - ∠ABD = 120°,
∴ ∠HBD = ∠THA + ∠AHB = ∠AHB + ∠HAC,
∴ ∠HBD = ∠AHB + ∠BAH - ∠BAC,
∴ ∠AHB + ∠BAH - ∠HBD = ∠BAC,即 ∠AHB + ∠BAH - ∠HBD = 120°;
如图 ③,当点 H 在点 C,D 之间时,过点 H 作 HT // MN,则 HT // MN // PQ,
∴ ∠HAN = ∠AHT, ∠BHT = ∠HBD, ∠BAC = 180° - ∠ABD = 120°,
∴ ∠AHT = 120° - ∠BAH,
∴ ∠AHB = ∠AHT + ∠BHT = 120° - ∠BAH + ∠HBD,
∴ ∠AHB + ∠BAH - ∠HBD = 120°.当点 H 在点 K 或点 C 处时,经验证,符合 ∠AHB + ∠BAH - ∠HBD = 120°.
综上所述,满足条件的关系是 ∠HBD + ∠AHB + ∠BAH = 240° 或 ∠AHB + ∠BAH - ∠HBD = 120°.