14. (2025·泰州期中)若等式$(x - s)·(3x + t) = 3x^{2} + mx - n$恒成立。无论$t$为何值,$2m + 3n$的值始终为一个定值,则这个定值为
4
。答案:14.4解析:因为(x−s)(3x+t)=3x²−3sx+tx−st=3x²+mx−n,所以3x²+(t−3s)x−st=3x²+mx−n,所以m=t−3s,n=st,所以2m+3n=2t−6s+3st=(2+3s)t−6s,因为无论t为何值,2m+3n的值始终为一个定值,所以2+3s=0,所以s=−$\frac{2}{3}$,所以2m+3n=−6s=−6×(−$\frac{2}{3}$)=4.
解析:
因为$(x - s)(3x + t) = 3x^2 + tx - 3sx - st = 3x^2 + (t - 3s)x - st$,又因为$(x - s)(3x + t) = 3x^2 + mx - n$,所以$m = t - 3s$,$n = st$。
则$2m + 3n = 2(t - 3s) + 3(st) = 2t - 6s + 3st = (3s + 2)t - 6s$。
因为无论$t$为何值,$2m + 3n$的值始终为定值,所以$3s + 2 = 0$,解得$s = -\frac{2}{3}$。
所以$2m + 3n = -6s = -6×(-\frac{2}{3}) = 4$。
4
则$2m + 3n = 2(t - 3s) + 3(st) = 2t - 6s + 3st = (3s + 2)t - 6s$。
因为无论$t$为何值,$2m + 3n$的值始终为定值,所以$3s + 2 = 0$,解得$s = -\frac{2}{3}$。
所以$2m + 3n = -6s = -6×(-\frac{2}{3}) = 4$。
4
15. 一天,小明在玩纸片拼图游戏时,发现利用图①中的三种材料各若干,可以拼出一些长方形来解释某些等式,比如图②可以解释等式$(a + 2b)(a + b) = a^{2} + 3ab + 2b^{2}$。

(1)图③可以解释等式
(2)小明取其中的若干张拼成一个面积为$a^{2} + nab + 3b^{2}$长方形,则$n$可取的正整数值为
(1)图③可以解释等式
(a+2b)(2a+b)=2a²+2b²+5ab
。(2)小明取其中的若干张拼成一个面积为$a^{2} + nab + 3b^{2}$长方形,则$n$可取的正整数值为
4
,请在图④位置画出拼成的图形。答案:
15.(1)(a+2b)(2a+b)=2a²+2b²+5ab
(2)4 如图所示.
解析:当n取4时,(a+b)(a+3b)=a²+4ab+3b²,拼出的图形如图
15.(1)(a+2b)(2a+b)=2a²+2b²+5ab
(2)4 如图所示.
解析:当n取4时,(a+b)(a+3b)=a²+4ab+3b²,拼出的图形如图
16. 【阅读材料】周末,小红自学了课本上整式乘法部分的内容,然后遇到了一道题目:
计算:$(3m + n)(m - 2n)$。
小红忽然看到弟弟在用竖式乘法计算:$34×25$,过程如图①;小红想:是否可以用这个方法计算$(3m + n)(m - 2n)$?她尝试写了解题过程如图②,结果正确。
小红还联想到多项式除以多项式是否也可以运用竖式除法的方法进行,于是她先做了一道多位数除以多位数的除法计算题如图③,接着她尝试做了一道多项式除以多项式的习题如图④,爸爸检验结果正确,并表扬了她善于思考、勇于探索的学习精神。


【问题解决】下面请你用学到的方法解决以下问题:
(1)小红把多位数竖式乘法运算方法运用在多项式乘法运算上,这里运用的数学思想是
A. 数形结合
B. 方程
C. 类比
D. 分类讨论
(2)请你尝试用小红的竖式乘法运算方法计算:$(x + y)(x^{2} - xy + y^{2})$。
(3)请计算$(x^{3} + 3x^{2} + 4x - 5)÷(x + 2)$的商式和余式。
(4)若$x^{2} + 3x - 2 = 0$,那么$2x^{4} + 23x + 5x^{3} - 6$的值是
计算:$(3m + n)(m - 2n)$。
小红忽然看到弟弟在用竖式乘法计算:$34×25$,过程如图①;小红想:是否可以用这个方法计算$(3m + n)(m - 2n)$?她尝试写了解题过程如图②,结果正确。
小红还联想到多项式除以多项式是否也可以运用竖式除法的方法进行,于是她先做了一道多位数除以多位数的除法计算题如图③,接着她尝试做了一道多项式除以多项式的习题如图④,爸爸检验结果正确,并表扬了她善于思考、勇于探索的学习精神。
【问题解决】下面请你用学到的方法解决以下问题:
(1)小红把多位数竖式乘法运算方法运用在多项式乘法运算上,这里运用的数学思想是
C
。A. 数形结合
B. 方程
C. 类比
D. 分类讨论
(2)请你尝试用小红的竖式乘法运算方法计算:$(x + y)(x^{2} - xy + y^{2})$。
(3)请计算$(x^{3} + 3x^{2} + 4x - 5)÷(x + 2)$的商式和余式。
(4)若$x^{2} + 3x - 2 = 0$,那么$2x^{4} + 23x + 5x^{3} - 6$的值是
8
。答案:
16.(1)C解析:因为多项式乘法运算仿照了多位数竖式乘法运算,所以是运用了类比的思想,故选C.
(2)列竖式计算,如图①.
(3)列竖式计算,如图②,所以商式为x²+x+2,余式为−9.
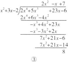
(4)8解析:2x⁴+23x+5x³−6=2x⁴+5x³+23x−6,列竖式计算(2x⁴+23x+5x³−6)÷(x²+3x−2),如图③:
所以商式为2x²−x+7,余式为8,即2x⁴+23x+5x³−6=(2x²−x+7)(x²+3x−2)+8.因为x²+3x−2=0,所以2x⁴+23x+5x³−6=8.
16.(1)C解析:因为多项式乘法运算仿照了多位数竖式乘法运算,所以是运用了类比的思想,故选C.
(2)列竖式计算,如图①.
(3)列竖式计算,如图②,所以商式为x²+x+2,余式为−9.
(4)8解析:2x⁴+23x+5x³−6=2x⁴+5x³+23x−6,列竖式计算(2x⁴+23x+5x³−6)÷(x²+3x−2),如图③:
所以商式为2x²−x+7,余式为8,即2x⁴+23x+5x³−6=(2x²−x+7)(x²+3x−2)+8.因为x²+3x−2=0,所以2x⁴+23x+5x³−6=8.