11. 已知$(x - 995)^2 + (x - 997)^2 = 100$,则$(x - 996)^2 =$
$49$
$\_\_\_\_\_\_$。答案:11. $ 49 $ 解析:设 $ x - 996 = a $,则 $ (a + 1)^{2} + (a - 1)^{2} = 100 $,则 $ 2a^{2} + 2 = 100 $,解得 $ a^{2} = 49 $,故 $ (x - 996)^{2} = 49 $。
解析:
设$x - 996 = a$,则$x - 995 = a + 1$,$x - 997 = a - 1$。
原方程可化为$(a + 1)^2 + (a - 1)^2 = 100$,
展开得$a^2 + 2a + 1 + a^2 - 2a + 1 = 100$,
合并同类项得$2a^2 + 2 = 100$,
移项得$2a^2 = 98$,
两边同时除以$2$得$a^2 = 49$,
即$(x - 996)^2 = 49$。
49
原方程可化为$(a + 1)^2 + (a - 1)^2 = 100$,
展开得$a^2 + 2a + 1 + a^2 - 2a + 1 = 100$,
合并同类项得$2a^2 + 2 = 100$,
移项得$2a^2 = 98$,
两边同时除以$2$得$a^2 = 49$,
即$(x - 996)^2 = 49$。
49
12. 先化简,再求值:$(x - 2y)^2 + (x + y)(x - 3y) - (2x - y)(x + 3y)$,其中$x = -3$,$y = -2$。
答案:12. 原式 $ = x^{2} - 4xy + 4y^{2} + x^{2} - 3y^{2} - 2xy - (2x^{2} + 6xy - xy - 3y^{2}) = 2x^{2} - 6xy + y^{2} - 2x^{2} - 6xy + xy + 3y^{2} = -11xy + 4y^{2} $。当 $ x = -3 $,$ y = -2 $ 时,原式 $ = -11 × (-3) × (-2) + 4 × (-2)^{2} = -50 $。
解析:
解:原式$=(x^{2}-4xy + 4y^{2})+(x^{2}-3xy+xy - 3y^{2})-(2x^{2}+6xy-xy - 3y^{2})$
$=x^{2}-4xy + 4y^{2}+x^{2}-2xy - 3y^{2}-2x^{2}-5xy + 3y^{2}$
$=(x^{2}+x^{2}-2x^{2})+(-4xy-2xy-5xy)+(4y^{2}-3y^{2}+3y^{2})$
$=-11xy + 4y^{2}$
当$x = -3$,$y=-2$时,
原式$=-11×(-3)×(-2)+4×(-2)^{2}$
$=-66 + 16$
$=-50$
$=x^{2}-4xy + 4y^{2}+x^{2}-2xy - 3y^{2}-2x^{2}-5xy + 3y^{2}$
$=(x^{2}+x^{2}-2x^{2})+(-4xy-2xy-5xy)+(4y^{2}-3y^{2}+3y^{2})$
$=-11xy + 4y^{2}$
当$x = -3$,$y=-2$时,
原式$=-11×(-3)×(-2)+4×(-2)^{2}$
$=-66 + 16$
$=-50$
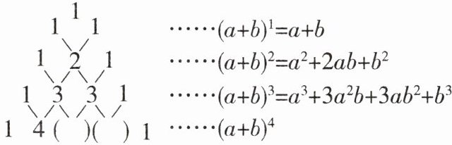
13. 新趋势 数学文化 我国南宋时期杰出的数学家杨辉是钱塘人,如图是他在《详解九章算法》中记载的“杨辉三角”。此图揭示了$(a + b)^n$($n$为非负整数)的展开式的项数及各项系数的有关规律。

(1) 写出$(a + b)^4$的展开式,并利用整式的乘法验证你的结论;
(2) $(a + b)^9$的展开式中所有项的系数和为
(3) 此规律还可以解决实际问题:假如今天是星期三,再过$7$天还是星期三,那么再过$8^{14}$天是星期
(1) 写出$(a + b)^4$的展开式,并利用整式的乘法验证你的结论;
(2) $(a + b)^9$的展开式中所有项的系数和为
$512$
;(3) 此规律还可以解决实际问题:假如今天是星期三,再过$7$天还是星期三,那么再过$8^{14}$天是星期
四
。答案:13. (1) $ (a + b)^{4} = a^{4} + 4a^{3}b + 6a^{2}b^{2} + 4ab^{3} + b^{4} $。
验证如下:$ (a + b)^{4} = (a + b)(a + b)^{3} = (a + b)(a^{3} + 3a^{2}b + 3ab^{2} + b^{3}) = a^{4} + 3a^{3}b + 3a^{2}b^{2} + ab^{3} + a^{3}b + 3a^{2}b^{2} + 3ab^{3} + b^{4} = a^{4} + 4a^{3}b + 6a^{2}b^{2} + 4ab^{3} + b^{4} $。
一题多解 $ (a + b)^{4} = (a + b)^{2}(a + b)^{2} = (a^{2} + 2ab + b^{2}) · (a^{2} + 2ab + b^{2}) = a^{4} + 2a^{3}b + a^{2}b^{2} + 2a^{3}b + 4a^{2}b^{2} + 2ab^{3} + a^{2}b^{2} + 2ab^{3} + b^{4} = a^{4} + 4a^{3}b + 6a^{2}b^{2} + 4ab^{3} + b^{4} $。
(2) $ 512 $ 解析:发现规律,所有项的系数和为 $ 2^{9} = 512 $。
(3) 四 解析:因为 $ 8^{14} = (7 + 1)^{14} = 7^{14} + 14 × 7^{13} + 91 × 7^{12} + ··· + 14 × 7 + 1 $,所以 $ 8^{14} $ 除以 $ 7 $ 的余数为 $ 1 $,所以假如今天是星期三,那么再过 $ 8^{14} $ 天是星期四。
验证如下:$ (a + b)^{4} = (a + b)(a + b)^{3} = (a + b)(a^{3} + 3a^{2}b + 3ab^{2} + b^{3}) = a^{4} + 3a^{3}b + 3a^{2}b^{2} + ab^{3} + a^{3}b + 3a^{2}b^{2} + 3ab^{3} + b^{4} = a^{4} + 4a^{3}b + 6a^{2}b^{2} + 4ab^{3} + b^{4} $。
一题多解 $ (a + b)^{4} = (a + b)^{2}(a + b)^{2} = (a^{2} + 2ab + b^{2}) · (a^{2} + 2ab + b^{2}) = a^{4} + 2a^{3}b + a^{2}b^{2} + 2a^{3}b + 4a^{2}b^{2} + 2ab^{3} + a^{2}b^{2} + 2ab^{3} + b^{4} = a^{4} + 4a^{3}b + 6a^{2}b^{2} + 4ab^{3} + b^{4} $。
(2) $ 512 $ 解析:发现规律,所有项的系数和为 $ 2^{9} = 512 $。
(3) 四 解析:因为 $ 8^{14} = (7 + 1)^{14} = 7^{14} + 14 × 7^{13} + 91 × 7^{12} + ··· + 14 × 7 + 1 $,所以 $ 8^{14} $ 除以 $ 7 $ 的余数为 $ 1 $,所以假如今天是星期三,那么再过 $ 8^{14} $ 天是星期四。
14. (1) 将两个边长之和为$18$的正方形按图①、图②的方式摆放。若图①中阴影部分的面积是$40$,则图②中阴影部分的面积为。

(2) 如图③,边长为$6$的正方形$ABCD$中放置两个长和宽分别为$a$,$b$($a < 6$,$b < 6$)的长方形,若长方形的周长为$16$,面积为$15.75$,则图③中阴影部分面积$S_1 + S_2 + S_3 = \_\_\_\_\_\_$。
(2) 如图③,边长为$6$的正方形$ABCD$中放置两个长和宽分别为$a$,$b$($a < 6$,$b < 6$)的长方形,若长方形的周长为$16$,面积为$15.75$,则图③中阴影部分面积$S_1 + S_2 + S_3 = \_\_\_\_\_\_$。
答案:
14. (1) $ 82 $ 解析:设大、小正方形的边长分别为 $ a,b $,则 $ a + b = 18 $。由题图①知,$ S_{\mathrm{阴影}} = \frac{1}{2}ab = 40 $,所以 $ ab = 80 $。由题图②知,$ S_{\mathrm{阴影}} = a^{2} + \frac{1}{2}(a + b)b - \frac{1}{2}a^{2} - \frac{1}{2}ab = \frac{a^{2} + b^{2}}{2} $。因为 $ a + b = 18 $,$ ab = 80 $,所以 $ a^{2} + b^{2} = (a + b)^{2} - 2ab = 18^{2} - 2 × 80 = 164 $,所以阴影部分的面积为 $ \frac{a^{2} + b^{2}}{2} = 82 $。
(2) $ 12.5 $ 解析:如图,得 $ ED = 6 - a $,$ HG = b - (6 - a) = a + b - 6 $,$ BQ = 6 - b $。因为长方形的周长为 $ 16 $,面积为 $ 15.75 $,所以 $ a + b = \frac{16}{2} = 8 $,$ ab = 15.75 $,所以 $ S_{1} + S_{2} + S_{3} = (6 - a)^{2} + (8 - 6)^{2} + (6 - b)^{2} = 72 - 12(a + b) + 4 + a^{2} + b^{2} = 72 - 12 × 8 + 4 + (a + b)^{2} - 2ab = 72 - 12 × 8 + 4 + 8^{2} - 2 × 15.75 = 12.5 $。

14. (1) $ 82 $ 解析:设大、小正方形的边长分别为 $ a,b $,则 $ a + b = 18 $。由题图①知,$ S_{\mathrm{阴影}} = \frac{1}{2}ab = 40 $,所以 $ ab = 80 $。由题图②知,$ S_{\mathrm{阴影}} = a^{2} + \frac{1}{2}(a + b)b - \frac{1}{2}a^{2} - \frac{1}{2}ab = \frac{a^{2} + b^{2}}{2} $。因为 $ a + b = 18 $,$ ab = 80 $,所以 $ a^{2} + b^{2} = (a + b)^{2} - 2ab = 18^{2} - 2 × 80 = 164 $,所以阴影部分的面积为 $ \frac{a^{2} + b^{2}}{2} = 82 $。
(2) $ 12.5 $ 解析:如图,得 $ ED = 6 - a $,$ HG = b - (6 - a) = a + b - 6 $,$ BQ = 6 - b $。因为长方形的周长为 $ 16 $,面积为 $ 15.75 $,所以 $ a + b = \frac{16}{2} = 8 $,$ ab = 15.75 $,所以 $ S_{1} + S_{2} + S_{3} = (6 - a)^{2} + (8 - 6)^{2} + (6 - b)^{2} = 72 - 12(a + b) + 4 + a^{2} + b^{2} = 72 - 12 × 8 + 4 + (a + b)^{2} - 2ab = 72 - 12 × 8 + 4 + 8^{2} - 2 × 15.75 = 12.5 $。
15. 阅读理解:
若$x$满足$(80 - x)(x - 60) = 30$,求$(80 - x)^2 + (x - 60)^2$的值。
解:设$80 - x = a$,$x - 60 = b$,则$(80 - x)(x - 60) = ab = 30$,$a + b = (80 - x) + (x - 60) = 20$,
所以$(80 - x)^2 + (x - 60)^2 = a^2 + b^2 = (a + b)^2 - 2ab = 20^2 - 2×30 = 340$。
解决问题:
(1) 若$x$满足$(30 - x)(x - 20) = -10$,则$(30 - x)^2 + (x - 20)^2$的值为
(2) 若$x$满足$(2025 - x)^2 + (2023 - x)^2 = 4056$,求$(2025 - x)(2023 - x)$的值;
(3) 如图,正方形$ABCD$的边长为$x$,$AE = 1$,$CG = 2$,长方形$EFGD$的面积是$5$,四边形$NGDH$和$MEDQ$都是正方形,$PQDH$是长方形,求图中阴影部分的面积。

若$x$满足$(80 - x)(x - 60) = 30$,求$(80 - x)^2 + (x - 60)^2$的值。
解:设$80 - x = a$,$x - 60 = b$,则$(80 - x)(x - 60) = ab = 30$,$a + b = (80 - x) + (x - 60) = 20$,
所以$(80 - x)^2 + (x - 60)^2 = a^2 + b^2 = (a + b)^2 - 2ab = 20^2 - 2×30 = 340$。
解决问题:
(1) 若$x$满足$(30 - x)(x - 20) = -10$,则$(30 - x)^2 + (x - 20)^2$的值为
$120$
;(2) 若$x$满足$(2025 - x)^2 + (2023 - x)^2 = 4056$,求$(2025 - x)(2023 - x)$的值;
(3) 如图,正方形$ABCD$的边长为$x$,$AE = 1$,$CG = 2$,长方形$EFGD$的面积是$5$,四边形$NGDH$和$MEDQ$都是正方形,$PQDH$是长方形,求图中阴影部分的面积。
答案:15. (1) $ 120 $ 解析:设 $ 30 - x = a $,$ x - 20 = b $,则 $ ab = -10 $,$ a + b = (30 - x) + (x - 20) = 10 $,所以 $ (30 - x)^{2} + (x - 20)^{2} = a^{2} + b^{2} = (a + b)^{2} - 2ab = 10^{2} - 2 × (-10) = 120 $。
(2) 设 $ 2025 - x = c $,$ 2023 - x = d $,则 $ c - d = (2025 - x) - (2023 - x) = 2 $,$ (2025 - x)(2023 - x) = cd $,所以 $ (2025 - x)^{2} + (2023 - x)^{2} = c^{2} + d^{2} = (c - d)^{2} + 2cd = 4056 $,即 $ 2^{2} + 2cd = 4056 $,解得 $ cd = 2026 $,即 $ (2025 - x)(2023 - x) = 2026 $。
(3) 因为正方形 $ ABCD $ 的边长为 $ x $,$ AE = 1 $,$ CG = 2 $,所以 $ DE = x - 1 $,$ DG = x - 2 $。因为四边形 $ NGDH $ 和 $ MEDQ $ 都是正方形,四边形 $ PQDH $ 是长方形,长方形 $ EFGD $ 的面积是 $ 5 $,所以 $ DE = EM = MQ = QD = x - 1 $,$ DG = GN = NH = HD = x - 2 $,所以 $ S_{\mathrm{长方形}DEFG} = (x - 1)(x - 2) = 5 $,$ S_{\mathrm{正方形}MEDQ} = (x - 1)^{2} $,$ S_{\mathrm{正方形}NGDH} = (x - 2)^{2} $,$ S_{\mathrm{长方形}PQDH} = (x - 1)(x - 2) = 5 $,设 $ x - 1 = a $,$ x - 2 = b $,则 $ a - b = (x - 1) - (x - 2) = 1 $,$ ab = (x - 1)(x - 2) = 5 $,所以阴影部分的面积 $ = S_{\mathrm{长方形}DEFG} + S_{\mathrm{正方形}MEDQ} + S_{\mathrm{正方形}NGDH} + S_{\mathrm{长方形}PQDH} = 5 + (x - 1)^{2} + (x - 2)^{2} + 5 = a^{2} + b^{2} + 10 $。因为 $ (a - b)^{2} = a^{2} + b^{2} - 2ab $,即 $ 1^{2} = a^{2} + b^{2} - 10 $,解得 $ a^{2} + b^{2} = 11 $,所以 $ a^{2} + b^{2} + 10 = 21 $,即阴影部分的面积为 $ 21 $。
(2) 设 $ 2025 - x = c $,$ 2023 - x = d $,则 $ c - d = (2025 - x) - (2023 - x) = 2 $,$ (2025 - x)(2023 - x) = cd $,所以 $ (2025 - x)^{2} + (2023 - x)^{2} = c^{2} + d^{2} = (c - d)^{2} + 2cd = 4056 $,即 $ 2^{2} + 2cd = 4056 $,解得 $ cd = 2026 $,即 $ (2025 - x)(2023 - x) = 2026 $。
(3) 因为正方形 $ ABCD $ 的边长为 $ x $,$ AE = 1 $,$ CG = 2 $,所以 $ DE = x - 1 $,$ DG = x - 2 $。因为四边形 $ NGDH $ 和 $ MEDQ $ 都是正方形,四边形 $ PQDH $ 是长方形,长方形 $ EFGD $ 的面积是 $ 5 $,所以 $ DE = EM = MQ = QD = x - 1 $,$ DG = GN = NH = HD = x - 2 $,所以 $ S_{\mathrm{长方形}DEFG} = (x - 1)(x - 2) = 5 $,$ S_{\mathrm{正方形}MEDQ} = (x - 1)^{2} $,$ S_{\mathrm{正方形}NGDH} = (x - 2)^{2} $,$ S_{\mathrm{长方形}PQDH} = (x - 1)(x - 2) = 5 $,设 $ x - 1 = a $,$ x - 2 = b $,则 $ a - b = (x - 1) - (x - 2) = 1 $,$ ab = (x - 1)(x - 2) = 5 $,所以阴影部分的面积 $ = S_{\mathrm{长方形}DEFG} + S_{\mathrm{正方形}MEDQ} + S_{\mathrm{正方形}NGDH} + S_{\mathrm{长方形}PQDH} = 5 + (x - 1)^{2} + (x - 2)^{2} + 5 = a^{2} + b^{2} + 10 $。因为 $ (a - b)^{2} = a^{2} + b^{2} - 2ab $,即 $ 1^{2} = a^{2} + b^{2} - 10 $,解得 $ a^{2} + b^{2} = 11 $,所以 $ a^{2} + b^{2} + 10 = 21 $,即阴影部分的面积为 $ 21 $。