一、选择题(每小题3分,共24分)
1. 若$□ · 3xy=27x^{3}y^{4}$,则$□$内应填的单项式是(
A.$3x^{3}y^{4}$
B.$9x^{2}y^{2}$
C.$3x^{2}y^{3}$
D.$9x^{2}y^{3}$
1. 若$□ · 3xy=27x^{3}y^{4}$,则$□$内应填的单项式是(
D
)A.$3x^{3}y^{4}$
B.$9x^{2}y^{2}$
C.$3x^{2}y^{3}$
D.$9x^{2}y^{3}$
答案:1. D 解析:因为 $ 9x^{2}y^{3}· 3xy = 27x^{3}y^{4} $,所以应填的单项式为 $ 9x^{2}y^{3} $。故选 D.
2. 下列各运算中,正确的是(
A.$a^{2}(-3a)=-3a^{2}$
B.$2x(x^{2}-1)=2x^{3}-2x$
C.$(1+2a)^{2}=1+2a+4a^{2}$
D.$(2+3a)(2-3a)=4-6a^{2}$
B
)A.$a^{2}(-3a)=-3a^{2}$
B.$2x(x^{2}-1)=2x^{3}-2x$
C.$(1+2a)^{2}=1+2a+4a^{2}$
D.$(2+3a)(2-3a)=4-6a^{2}$
答案:2. B 解析:A. $ a^{2}(-3a) = -3a^{3} $,该选项错误;B. $ 2x(x^{2}-1) = 2x^{3}-2x $,该选项正确;C. $ (1 + 2a)^{2} = 1 + 4a + 4a^{2} $,该选项错误;D. $ (2 + 3a)(2 - 3a) = 4 - 9a^{2} $,该选项错误.故选 B.
3. 若$(y^{2}+ay+2)(2y-4)$的结果中不含$y^{2}$项,则$a$的值为(
A.0
B.2
C.$\frac{1}{2}$
D.-2
B
)A.0
B.2
C.$\frac{1}{2}$
D.-2
答案:3. B 解析: $ (y^{2}+ay + 2)(2y - 4) = 2y^{3}-4y^{2}+2ay^{2}-4ay + 4y - 8 = 2y^{3}+(-4 + 2a)y^{2}+(-4a + 4)y - 8 $。因为结果中不含 $ y^{2} $项,所以 $ -4 + 2a = 0 $,解得 $ a = 2 $。故选 B.
4. 如图所示的长方体中,棱$CG$的长度为$x$,长方形$ADFE$与长方形$DCGF$的面积如图所示,则长方形$ABCD$的面积为(

A.$2x^{4}+2x^{2}y$
B.$2x^{3}+2xy$
C.$2x^{2}+2y^{2}$
D.$2x^{2}+2y$
B
)A.$2x^{4}+2x^{2}y$
B.$2x^{3}+2xy$
C.$2x^{2}+2y^{2}$
D.$2x^{2}+2y$
答案:4. B 解析:因为长方形 $ DCGF $的面积为 $ 2x^{2} $,$ CG = x $,所以 $ CD = 2x $,$ DF = CG = x $。因为长方形 $ ADFE $的面积为 $ x^{3}+xy $,所以 $ AD = x^{2}+y $,所以长方形 $ ABCD $的面积为 $ AD· CD = (x^{2}+y)· 2x = 2x^{3}+2xy $。故选 B.
5. 若$2^{x^{2}+y^{2}}=m$,$2^{xy}=n$,则$2^{(x+y)^{2}}=$(
A.$m+n^{2}$
B.$m+2n$
C.$mn^{2}$
D.$2mn$
C
)A.$m+n^{2}$
B.$m+2n$
C.$mn^{2}$
D.$2mn$
答案:5. C 解析:因为 $ 2^{x^{2}+y^{2}} = m $,$ 2^{xy} = n $,所以 $ 2^{(x + y)^{2}} = 2^{x^{2}+y^{2}+2xy} = 2^{x^{2}+y^{2}}· 2^{2xy} = 2^{x^{2}+y^{2}}· (2^{xy})^{2} = mn^{2} $。故选 C.
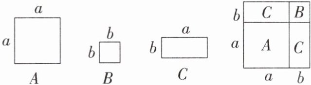
6. (2025·衡阳月考)设有边长分别为$a$和$b(a>b)$的$A$类和$B$类正方形纸片,长为$a$、宽为$b$的$C$类长方形纸片若干张.如图所示要拼一个边长为$a+b$的正方形,需要1张$A$类纸片、1张$B$类纸片和2张$C$类纸片.若要拼一个长为$3a+b$、宽为$2a+2b$的长方形,则需要$C$类纸片的张数为(

A.6
B.7
C.8
D.9
C
)A.6
B.7
C.8
D.9
答案:6. C 解析:因为 $ (3a + b)(2a + 2b) = 6a^{2}+6ab + 2ab + 2b^{2} = 6a^{2}+8ab + 2b^{2} $,所以若要拼一个长为 $ 3a + b $、宽为 $ 2a + 2b $的长方形,则需要 C 类纸片的张数为 8。故选 C.
7. 如图,依次输入数$x$,$y$,经过“数值交换机”$(x-2y)^{2}-(2y+1)(2y-1)-x(x-4y+2)+y$后会输出新数.若依次输入数$b$,$a$,输出的新数是-3.则$b-\frac{1}{2}a$的值分别为(
A.2
B.3
C.4
D.5
A
)A.2
B.3
C.4
D.5
答案:7. A 解析: $ (x - 2y)^{2}-(2y + 1)(2y - 1)-x(x - 4y + 2)+y = x^{2}-4xy + 4y^{2}-4y^{2}+1 - x^{2}+4xy - 2x + y = -2x + y + 1 $,由题意得 $ -2b + a + 1 = -3 $,所以 $ -2(b - \frac{1}{2}a) = -4 $,得 $ b - \frac{1}{2}a = 2 $。故选 A.
8. (2025·漳州期末)若$m=999913×999987$,则有理数$m$的末尾五位数是(
A.01131
B.11131
C.03131
D.13131
A
)A.01131
B.11131
C.03131
D.13131
答案:8. A 解析:设 $ a = 1000000 $,则 $ m = 999913×999987 = (a - 87)·(a - 13) = a^{2}-13a - 87a + 1131 = a^{2}-100a + 1131 $,因为 $ a^{2} $和 $ 100a $的末尾五位数都是 0,所以 $ a^{2}-100a + 1131 $的末尾五位数是 01131。故选 A.
二、填空题(每小题3分,共30分)
9. 计算:(1)$(2a)^{3}(-3ab^{2})=$
(2)$x(2x^{2}-3x+1)=$
9. 计算:(1)$(2a)^{3}(-3ab^{2})=$
$-24a^{4}b^{2}$
;(2)$x(2x^{2}-3x+1)=$
$2x^{3}-3x^{2}+x$
。答案:9. (1) $ -24a^{4}b^{2} $ (2) $ 2x^{3}-3x^{2}+x $
10. 若$x+y=-1$,$x^{2}-y^{2}=3$,则$y-x$的值为
3
。答案:10. 3 解析:因为 $ x^{2}-y^{2} = (x + y)(x - y) = 3 $,$ x + y = -1 $,所以 $ x - y = -3 $,所以 $ y - x = 3 $。
解析:
因为$x^{2}-y^{2}=(x + y)(x - y)=3$,$x + y=-1$,所以$x - y=-3$,则$y - x=3$。
11. (2025·南京期末)把$4a^{2}-2a+1$加上一个单项式
$-2a$(答案不唯一)
可以成为一个多项式的平方.(写出一个即可)答案:11. $ -2a $(答案不唯一) 解析:因为 $ (2a - 1)^{2} = 4a^{2}-4a + 1 $,所以 $ -4a - (-2a) = -2a $,所以原式加上一个单项式 $ -2a $可成为多项式 $ 2a - 1 $的平方.
解析:
$-2a$(答案不唯一)
12. 若一个长方体的长、宽、高分别是$3x-4$,$x+2$和$2x$,则它的体积是
$6x^{3}+4x^{2}-16x$
。答案:12. $ 6x^{3}+4x^{2}-16x $ 解析: $ 2x(3x - 4)(x + 2) = (6x^{2}-8x)(x + 2) = 6x^{3}+4x^{2}-16x $。
解析:
$2x(3x - 4)(x + 2)$
$=(6x^{2}-8x)(x + 2)$
$=6x^{3}+12x^{2}-8x^{2}-16x$
$=6x^{3}+4x^{2}-16x$
$=(6x^{2}-8x)(x + 2)$
$=6x^{3}+12x^{2}-8x^{2}-16x$
$=6x^{3}+4x^{2}-16x$
13. 若$(a+m)(a-1)=a^{2}-3a+n$,则$m+n$的值为
0
。答案:13. 0 解析:因为 $ (a + m)(a - 1) = a^{2}-a + ma - m $,所以 $ a^{2}-3a + n = a^{2}-a + ma - m $,即 $ a^{2}-3a + n = a^{2}-(1 - m)a - m $,所以 $ 1 - m = 3 $,$ -m = n $,解得 $ m = -2 $,$ n = 2 $,则 $ m + n = 0 $。
解析:
$(a + m)(a - 1) = a^{2}-a + ma - m$,
因为$(a + m)(a - 1)=a^{2}-3a + n$,
所以$a^{2}-a + ma - m=a^{2}-3a + n$,
即$a^{2}+(m - 1)a - m=a^{2}-3a + n$,
则$\begin{cases}m - 1=-3\\-m=n\end{cases}$,
解得$m=-2$,$n=2$,
所以$m + n=-2 + 2=0$。
因为$(a + m)(a - 1)=a^{2}-3a + n$,
所以$a^{2}-a + ma - m=a^{2}-3a + n$,
即$a^{2}+(m - 1)a - m=a^{2}-3a + n$,
则$\begin{cases}m - 1=-3\\-m=n\end{cases}$,
解得$m=-2$,$n=2$,
所以$m + n=-2 + 2=0$。
14. 某同学在计算一个多项式乘$4x^{2}$时,因抄错运算符号,算成了加上$4x^{2}$,得到的结果是$3x^{2}+2x-1$,那么正确的计算结果是
$-4x^{4}+8x^{3}-4x^{2}$
。答案:14. $ -4x^{4}+8x^{3}-4x^{2} $ 解析:在计算一个多项式乘 $ 4x^{2} $时,因抄错运算符号,算成了加上 $ 4x^{2} $,得到的结果是 $ 3x^{2}+2x - 1 $,设这个多项式为 $ M $,所以 $ M + 4x^{2} = 3x^{2}+2x - 1 $,所以 $ M = 3x^{2}+2x - 1 - 4x^{2} = -x^{2}+2x - 1 $,所以正确的结果为 $ (-x^{2}+2x - 1)· 4x^{2} = -4x^{4}+8x^{3}-4x^{2} $。
解析:
设这个多项式为$M$,
因为$M + 4x^{2} = 3x^{2}+2x - 1$,
所以$M = 3x^{2}+2x - 1 - 4x^{2} = -x^{2}+2x - 1$,
则正确的计算结果为$(-x^{2}+2x - 1)·4x^{2} = -4x^{4}+8x^{3}-4x^{2}$。
$-4x^{4}+8x^{3}-4x^{2}$
因为$M + 4x^{2} = 3x^{2}+2x - 1$,
所以$M = 3x^{2}+2x - 1 - 4x^{2} = -x^{2}+2x - 1$,
则正确的计算结果为$(-x^{2}+2x - 1)·4x^{2} = -4x^{4}+8x^{3}-4x^{2}$。
$-4x^{4}+8x^{3}-4x^{2}$
15. 新题型 新定义 定义:$\begin{vmatrix}a&b\\c&d\end{vmatrix}=ad-bc$,若$\begin{vmatrix}x+1&x+2\\x-1&x+3\end{vmatrix}=14$,则$x=$ ______ 。
答案:15. 3 解析:因为 $ \begin{vmatrix}x + 1 & x + 2\\x - 1 & x + 3\end{vmatrix} = 14 $,所以 $ (x + 1)(x + 3)-(x + 2)(x - 1) = 14 $,整理得 $ x^{2}+4x + 3-(x^{2}+x - 2) = 14 $,即 $ 3x + 5 = 14 $,解得 $ x = 3 $。
解析:
由定义可得:$(x+1)(x+3)-(x+2)(x-1)=14$,
展开得:$x^2 + 4x + 3 - (x^2 + x - 2) = 14$,
化简得:$3x + 5 = 14$,
解得:$x = 3$。
$3$
展开得:$x^2 + 4x + 3 - (x^2 + x - 2) = 14$,
化简得:$3x + 5 = 14$,
解得:$x = 3$。
$3$
16. 如图为某正方形房屋的平面图,其中主卧与客卧都为正方形,其面积之和比其余面积(阴影部分)多2.25平方米,则主卧与客卧的周长差为

6
米。答案:16. 6 解析:设主卧的边长为 $ a $米,客卧边长为 $ b $米,根据题意,得 $ (a^{2}+b^{2})-[(a + b)^{2}-(a^{2}+b^{2})] = 2.25 $,整理得 $ (a - b)^{2} = 2.25 $。又因为 $ 1.5^{2} = 2.25 $,所以 $ a - b = 1.5 $,所以主卧与客卧的周长差为 $ 4×1.5 = 6 $(米)。
解析:
设主卧的边长为 $a$ 米,客卧边长为 $b$ 米。
根据题意,得 $(a^{2}+b^{2})-[(a + b)^{2}-(a^{2}+b^{2})] = 2.25$,
整理得 $2(a^{2}+b^{2})-(a^{2}+2ab + b^{2})=2.25$,即 $a^{2}-2ab + b^{2}=2.25$,
则 $(a - b)^{2}=2.25$,
因为 $a > b$,所以 $a - b=\sqrt{2.25}=1.5$,
故主卧与客卧的周长差为 $4a - 4b=4(a - b)=4×1.5=6$ 米。
6
根据题意,得 $(a^{2}+b^{2})-[(a + b)^{2}-(a^{2}+b^{2})] = 2.25$,
整理得 $2(a^{2}+b^{2})-(a^{2}+2ab + b^{2})=2.25$,即 $a^{2}-2ab + b^{2}=2.25$,
则 $(a - b)^{2}=2.25$,
因为 $a > b$,所以 $a - b=\sqrt{2.25}=1.5$,
故主卧与客卧的周长差为 $4a - 4b=4(a - b)=4×1.5=6$ 米。
6