7. 阅读材料,回答下列问题:
材料一:积的乘方,等于把积的每一个因式分别乘方,再把所得的幂相乘。即 $ (ab)^{n} = a^{n}b^{n} $。
材料二:等式 $ 1 + 2 + 3 + ··· + n = \dfrac{n(n + 1)}{2}, 1^{2} + 2^{2} + 3^{2} + ··· + n^{2} = \dfrac{n(n + 1)(2n + 1)}{6} $ 成立。
(1) $ 2^{2} + 4^{2} + 6^{2} + ··· + 10^{2} = $
(2) 求 $ 1 × 2 + 2 × 3 + 3 × 4 + ··· + 99 × 100 $ 的值。
材料一:积的乘方,等于把积的每一个因式分别乘方,再把所得的幂相乘。即 $ (ab)^{n} = a^{n}b^{n} $。
材料二:等式 $ 1 + 2 + 3 + ··· + n = \dfrac{n(n + 1)}{2}, 1^{2} + 2^{2} + 3^{2} + ··· + n^{2} = \dfrac{n(n + 1)(2n + 1)}{6} $ 成立。
(1) $ 2^{2} + 4^{2} + 6^{2} + ··· + 10^{2} = $
220
;(2) 求 $ 1 × 2 + 2 × 3 + 3 × 4 + ··· + 99 × 100 $ 的值。
答案:7. (1)220 解析:因为$(ab)^{n} = a^{n}b^{n}$,所以$2^{2} + 4^{2} + 6^{2} + ··· + 10^{2} = (2×1)^{2} + (2×2)^{2} + (2×3)^{2} + ··· + (2×5)^{2} = 2^{2}×1^{2} + 2^{2}×2^{2} + 2^{2}×3^{2} + ··· + 2^{2}×5^{2} = 2^{2}×(1^{2} + 2^{2} + 3^{2} + ··· + 5^{2})$。因为$1^{2} + 2^{2} + 3^{2} + ··· + n^{2} = \frac{n(n + 1)(2n + 1)}{6}$,所以原式$= 4×\frac{5×(5 + 1)×(2×5 + 1)}{6} = 220$。
(2)因为$n(n + 1) = n^{2} + n$,所以$1×2 + 2×3 + 3×4 + ··· + 99×100 = 1×(1 + 1) + 2×(2 + 1) + 3×(3 + 1) + ··· + 99×(99 + 1) = 1^{2} + 1 + 2^{2} + 2 + 3^{2} + 3 + ··· + 99^{2} + 99 = 1^{2} + 2^{2} + 3^{2} + ··· + 99^{2} + 1 + 2 + 3 + ··· + 99$。因为$1 + 2 + 3 + ··· + n = \frac{n(n + 1)}{2}$,$1^{2} + 2^{2} + 3^{2} + ··· + n^{2} = \frac{n(n + 1)(2n + 1)}{6}$,所以原式$= \frac{99×(99 + 1)×(2×99 + 1)}{6} + \frac{99×(99 + 1)}{2} = 328350 + 4950 = 333300$。
(2)因为$n(n + 1) = n^{2} + n$,所以$1×2 + 2×3 + 3×4 + ··· + 99×100 = 1×(1 + 1) + 2×(2 + 1) + 3×(3 + 1) + ··· + 99×(99 + 1) = 1^{2} + 1 + 2^{2} + 2 + 3^{2} + 3 + ··· + 99^{2} + 99 = 1^{2} + 2^{2} + 3^{2} + ··· + 99^{2} + 1 + 2 + 3 + ··· + 99$。因为$1 + 2 + 3 + ··· + n = \frac{n(n + 1)}{2}$,$1^{2} + 2^{2} + 3^{2} + ··· + n^{2} = \frac{n(n + 1)(2n + 1)}{6}$,所以原式$= \frac{99×(99 + 1)×(2×99 + 1)}{6} + \frac{99×(99 + 1)}{2} = 328350 + 4950 = 333300$。
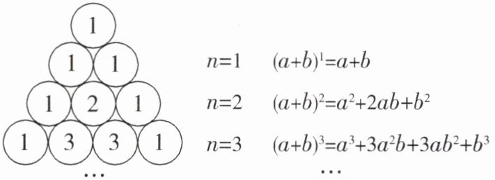
8. (2025·连云港期中)下图是我国南宋数学家杨辉在他的著作《详解九章算法》中提出的“杨辉三角”,揭示了 $ (a + b)^{n} $($ n $ 为非负整数)展开式的项数及各项系数的相关规律。

根据以上规律,解答下列问题:
(1) $ (a + b)^{4} $ 的展开式中共有
(2) 利用表中规律计算:$ 3^{5} - 5 × 3^{4} × 2 + 10 × 3^{3} × 2^{2} - 10 × 3^{2} × 2^{3} + 5 × 3 × 2^{4} - 2^{5} $;
(3) 设 $ (x + 1)^{17} = a_{17}x^{17} + a_{16}x^{16} + ··· + a_{1}x + a_{0} $,在这个等式中,当 $ x = 0 $ 时,可得 $ a_{0} $ 的值为
根据以上规律,解答下列问题:
(1) $ (a + b)^{4} $ 的展开式中共有
5
项,其中第三项是$6a^{2}b^{2}$
;(2) 利用表中规律计算:$ 3^{5} - 5 × 3^{4} × 2 + 10 × 3^{3} × 2^{2} - 10 × 3^{2} × 2^{3} + 5 × 3 × 2^{4} - 2^{5} $;
(3) 设 $ (x + 1)^{17} = a_{17}x^{17} + a_{16}x^{16} + ··· + a_{1}x + a_{0} $,在这个等式中,当 $ x = 0 $ 时,可得 $ a_{0} $ 的值为
1
,从而可求得 $ a_{1} + a_{2} + ··· + a_{16} + a_{17} $ 的值为$2^{17} - 1$
。答案:8. (1)5 $6a^{2}b^{2}$ 解析:由题意可得$(a + b)^{4} = a^{4} + 4a^{3}b + 6a^{2}b^{2} + 4ab^{3} + b^{4}$,所以$(a + b)^{4}$的展开式中共有 5 项,其中第三项是$6a^{2}b^{2}$。
(2)$3^{5} - 5×3^{4}×2 + 10×3^{3}×2^{2} - 10×3^{2}×2^{3} + 5×3×2^{4} - 2^{5} = 3^{5} + 5×3^{4}×(-2)^{1} + 10×3^{3}×(-2)^{2} + 10×3^{2}×(-2)^{3} + 5×3×(-2)^{4} + (-2)^{5} = [3 + (-2)]^{5} = 1^{5} = 1$。
(3)1 $2^{17} - 1$ 解析:因为$(x + 1)^{17} = a_{17}x^{17} + a_{16}x^{16} + ··· + a_{1}x + a_{0}$,所以当$x = 0$时,$(0 + 1)^{17} = a_{0}$,所以$a_{0} = 1$;当$x = 1$时,$(1 + 1)^{17} = a_{17} + a_{16} + ··· + a_{1} + a_{0}$,所以$a_{0} + a_{1} + a_{2} + ··· + a_{16} + a_{17} = 2^{17}$,所以$a_{1} + a_{2} + ··· + a_{16} + a_{17} = 2^{17} - a_{0} = 2^{17} - 1$。
(2)$3^{5} - 5×3^{4}×2 + 10×3^{3}×2^{2} - 10×3^{2}×2^{3} + 5×3×2^{4} - 2^{5} = 3^{5} + 5×3^{4}×(-2)^{1} + 10×3^{3}×(-2)^{2} + 10×3^{2}×(-2)^{3} + 5×3×(-2)^{4} + (-2)^{5} = [3 + (-2)]^{5} = 1^{5} = 1$。
(3)1 $2^{17} - 1$ 解析:因为$(x + 1)^{17} = a_{17}x^{17} + a_{16}x^{16} + ··· + a_{1}x + a_{0}$,所以当$x = 0$时,$(0 + 1)^{17} = a_{0}$,所以$a_{0} = 1$;当$x = 1$时,$(1 + 1)^{17} = a_{17} + a_{16} + ··· + a_{1} + a_{0}$,所以$a_{0} + a_{1} + a_{2} + ··· + a_{16} + a_{17} = 2^{17}$,所以$a_{1} + a_{2} + ··· + a_{16} + a_{17} = 2^{17} - a_{0} = 2^{17} - 1$。