1. 用简便方法计算。
518−(327+18) 274+198
369+76+431 791−128−72
518−(327+18) 274+198
369+76+431 791−128−72
答案:1. 173 472 876 591
解析:
518−(327+18)
=518−18−327
=500−327
=173
274+198
=274+200−2
=474−2
=472
369+76+431
=369+431+76
=800+76
=876
791−128−72
=791−(128+72)
=791−200
=591
=518−18−327
=500−327
=173
274+198
=274+200−2
=474−2
=472
369+76+431
=369+431+76
=800+76
=876
791−128−72
=791−(128+72)
=791−200
=591
2. 下面(

B
)不能表示加法交换律。答案:2. B
3. (南京江宁区期末)周末李叔叔去爬山,下面是他4小时内的爬山距离,这4小时他一共爬了多少米?


答案:3. 443+351+357+249=1400(米)
4. 琪琪在计算□−(☆+36)时,没有注意括号,按照从左往右的顺序计算出的结果是200,那么这道算式的正确结果是(
128
)。答案:4. 128
解析:
设□为$a$,☆为$b$。
琪琪错误计算为$a - b + 36 = 200$,则$a - b = 200 - 36 = 164$。
正确结果为$a - (b + 36) = a - b - 36 = 164 - 36 = 128$。
128
琪琪错误计算为$a - b + 36 = 200$,则$a - b = 200 - 36 = 164$。
正确结果为$a - (b + 36) = a - b - 36 = 164 - 36 = 128$。
128
5. 在□里填合适的数,使算式能进行简便计算。
159+242+□ 287−129−□
576−□−36 345−(□+78)
165−127+□−□
159+242+□ 287−129−□
576−□−36 345−(□+78)
165−127+□−□
答案:5. 答案不唯一,如:58 87 64 45 35 73
解析:
159+242+58
287−129−87
576−64−36
345−(45+78)
165−127+35−73
287−129−87
576−64−36
345−(45+78)
165−127+35−73
6. 四个人年龄互不相等,平均年龄是20岁,并且四个人中没有小于15岁的。这四个人中,最大年龄不能超过(
32
)岁。答案:6. 32 解析:由四个人的平均年龄是20岁可知,四个人的年龄和是20×4=80(岁)。又由于四个人年龄互不相等,且没有小于15岁的,可以从最小是15岁开始想,三个人的年龄可能是15岁、16岁、17岁,这样求出第四个人年龄最大,即80-15-16-17=32(岁)。
解析:
四个人年龄和为$20×4 = 80$岁。要使最大年龄尽可能大,其他三人年龄应尽可能小且互不相等、不小于15岁,最小的三个年龄为15岁、16岁、17岁。最大年龄为$80 - 15 - 16 - 17 = 32$岁。
32
32
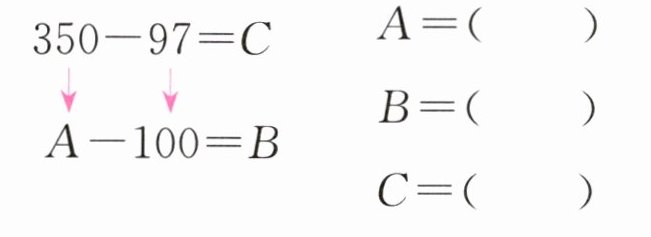
7. 新趋势 推导探究 观察下面减法运算的简便计算方法。

发现:被减数和减数(
如下图,计算350−97时,也可以这样想:

发现:被减数和减数(
同时加上(或减去)同一个数
),差不变。如下图,计算350−97时,也可以这样想:
答案:7. 同时加上(或减去)同一个数 353 253 253